Free Access

Table 3

Stellar parameters and disk types for the sample.

Name SpT Teff d L E(B-V) M Age Disk
(K) [pc] [L] E(B-V) [M] [Myr] type
BX Ari K2 Ia
                 
HBC 338 G8 Ia
                 
LkHα 330 F7 Ia
                 
RY Tau (a) IIa
                 
T Tau I
                 
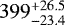
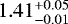
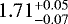
UX Tau A G8 (b) 139.4 ± 1.96 (c) (c) (c) (d) Ib
                 
HQ Tau K0 IIa (e)
                 
HBC 415 G2 Debris
                 
SU Aur G4 I
                 
HD 34700 G0 Ive (f) I
                 
CO Ori IIa
                 
HD 35929 IIa
                 
PDS 115 G2 II
                 
GW Ori Ia
                 
V1650 Ori IIa
                 
GX Ori IIa
                 
RY Ori IIa
                 
HBC 442 IIa
                 
SW Ori G8 I
                 
V1044 Ori Ia
                 
EZ Ori (g) Ia/IIa
                 
Brun 252 Debris
                 
V2149 Ori 388 ± 5 (h) Ib/IIb
                 
Brun 555 K2 Debris
                 
Brun 656 G2 III Debris
                 
V815 Ori G7 Ib
                 
PR Ori K1 (i) Ia/IIa
                 
HD 294260 IIa
                 
BE Ori G3 IIa
                 
HBC 502 K3 Ib
                 
LkHα 310 G6 Ia
                 
HD 288313 A K2 V (j)
                 
PDS 277 F3 Ve I
                 
CR Cha IIa
                 
Ass ChaT2-21 G5 Ve Debris
                 
DI Cha G2 IIa
                 
CV Cha K0 IIa
                 
Ass ChaT2-54 Debris
                 
HD 135344B F4 Ib (k)
                 
HT Lup K3 Ve IIa
                 
HD 142666 A8 V IIa
                 
HD 142527 Ia
                 
HD 144432 IIa
                 
Haro 1-6 G1 Ib
                 
EM*SR 21 Ib
                 
AK Sco Ia
                 
PDS 156 G5 III II
                 
DI Cep G8 IVe IIa
                 
V395 Cep Ia

Notes. The effective temperature is found in the literature (see references in Table 1). The distances are Gaia DR2 as derived by Bailer-Jones et al. (2018) unless otherwise indicated. The L and E(B-V) are determined by our SED fitting. Mass and age are determined using Siess et al. (2000) pre-main sequence evolutionary tracks. (a) Value from Perryman et al. (1997). (b) Value from Espaillat et al. (2010). (c) Value from Akeson et al. (2019). (d) Value from Kraus & Hillenbrand (2009). (e) 10μm feature shown in Watson et al. (2009). (f) Teff increased; see footnote 1 for explanation. (g)Kounkel et al. (2018). (h)Value from Kounkel et al. (2016). (i)Yan et al. (2019). (j)Zucker et al. (2020). (k)Absence of 10μm feature shown in Fedele et al. (2008).

Current usage metrics show cumulative count of Article Views (full-text article views including HTML views, PDF and ePub downloads, according to the available data) and Abstracts Views on Vision4Press platform.

Data correspond to usage on the plateform after 2015. The current usage metrics is available 48-96 hours after online publication and is updated daily on week days.

Initial download of the metrics may take a while.