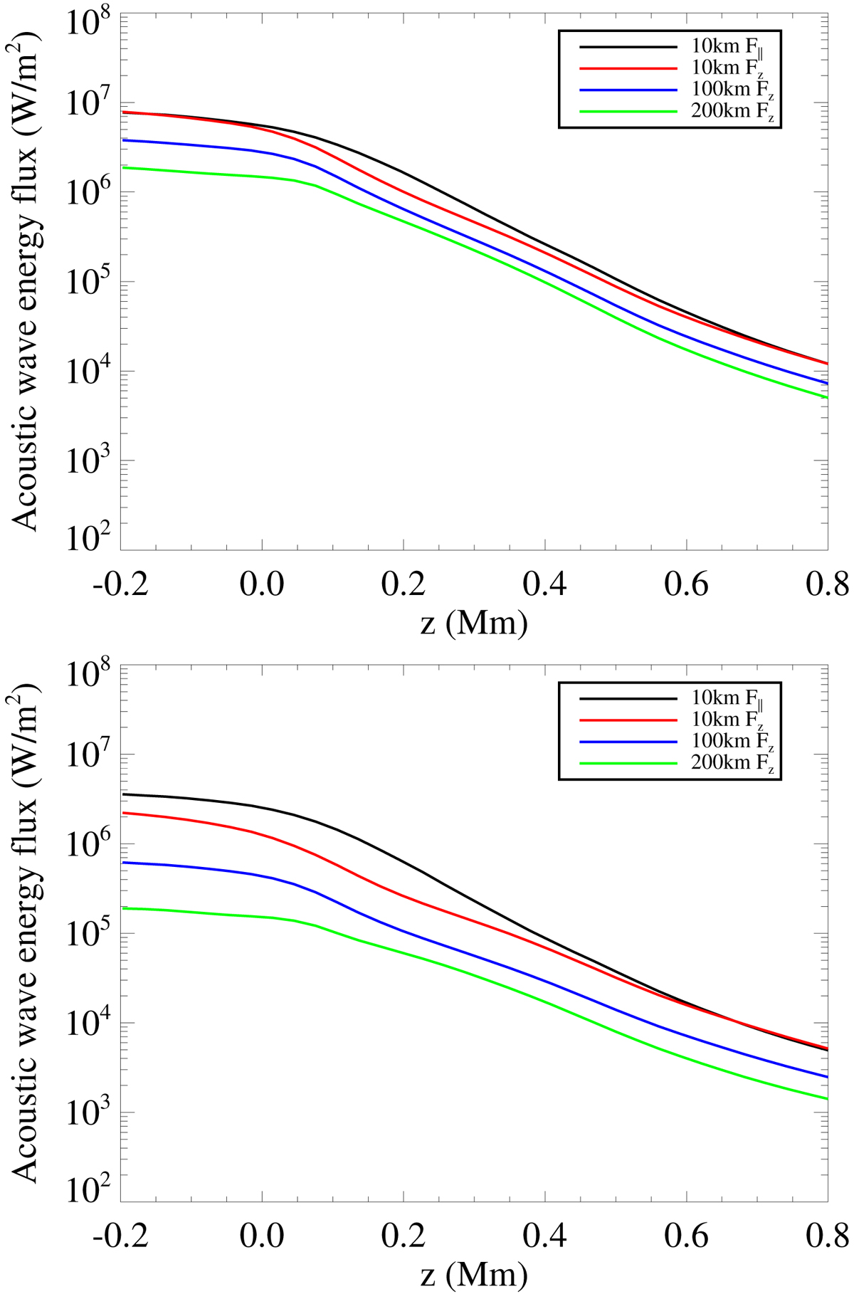
Fig. 11.

Variation of acoustic wave energy flux with geometrical height computed using the component of velocity parallel to the magnetic field for full resolution (black), computed using the vertical component of the velocity for full resolution (red), computed using the vertical component of the velocity for degraded data at an effective resolution of 100 km (blue) and 200 km (green). Left (Right): integrating velocity power spectra within the frequency range 2–500 mHz (5–500 mHz).
Current usage metrics show cumulative count of Article Views (full-text article views including HTML views, PDF and ePub downloads, according to the available data) and Abstracts Views on Vision4Press platform.
Data correspond to usage on the plateform after 2015. The current usage metrics is available 48-96 hours after online publication and is updated daily on week days.
Initial download of the metrics may take a while.