Free Access
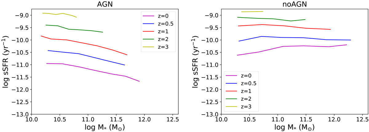
Fig. 11.

Specific SFR as a function of stellar mass for Horizon-AGN (left panel) and Horizon-noAGN (right panel) central ETGs at different redshifts. At z = 1 there is a change in the slope for the Horizon-AGN samples, while the sSFR does not depend on stellar mass in the absence of AGN feedback.
Current usage metrics show cumulative count of Article Views (full-text article views including HTML views, PDF and ePub downloads, according to the available data) and Abstracts Views on Vision4Press platform.
Data correspond to usage on the plateform after 2015. The current usage metrics is available 48-96 hours after online publication and is updated daily on week days.
Initial download of the metrics may take a while.