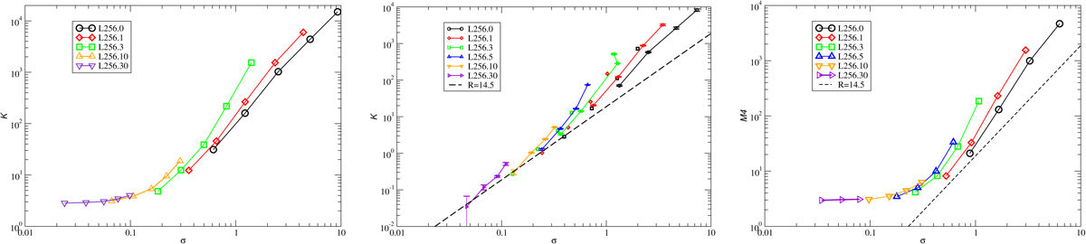
Fig. B.2.

Mathematical kurtosis K(σ) of simulation L256 using various smoothing algorithms. Left panel: Results for smoothing with a B3 spline. Central panel: Results with a cubic-cell smoothing. Right panel: Results for the kurtosis M4 = K + 3 using a top-hat smoothing. The name index shows the redshift. The dashed bold curves show K = 16σ2.
Current usage metrics show cumulative count of Article Views (full-text article views including HTML views, PDF and ePub downloads, according to the available data) and Abstracts Views on Vision4Press platform.
Data correspond to usage on the plateform after 2015. The current usage metrics is available 48-96 hours after online publication and is updated daily on week days.
Initial download of the metrics may take a while.