Free Access
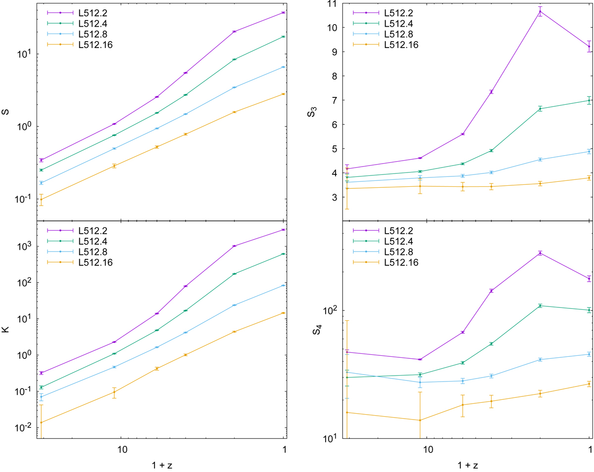
Fig. 3.

Dependence of the PDF moments on the cosmic epoch z for simulation L512. Left top and bottom panels: dependence for the skewness S(z) and the kurtosis K(z), respectively, and right panels: their cosmological equivalents S3(z) and S4(z). The index in the simulation name is the smoothing length in h−1 Mpc.
Current usage metrics show cumulative count of Article Views (full-text article views including HTML views, PDF and ePub downloads, according to the available data) and Abstracts Views on Vision4Press platform.
Data correspond to usage on the plateform after 2015. The current usage metrics is available 48-96 hours after online publication and is updated daily on week days.
Initial download of the metrics may take a while.