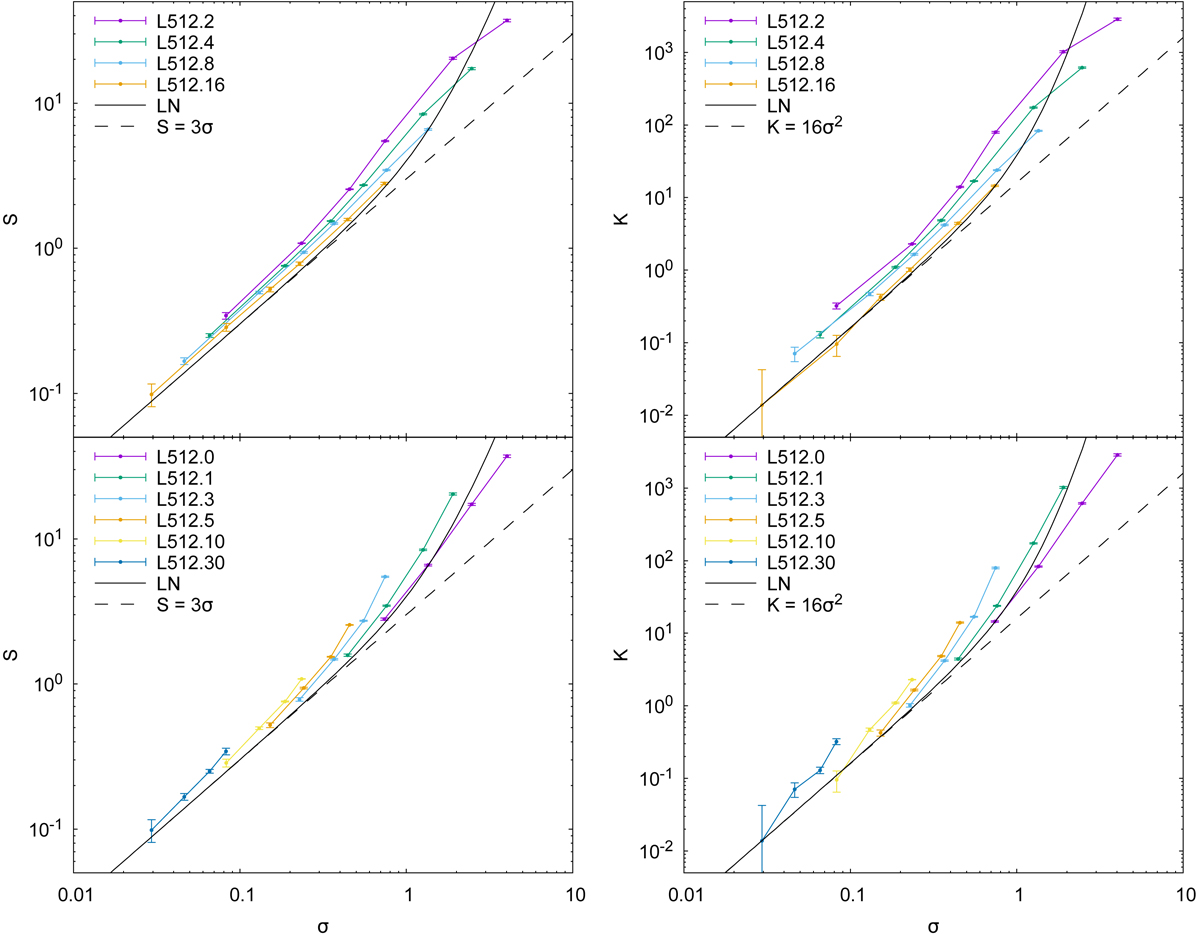
Fig. 5.

Top panels: evolutionary tracks. Bottom panels: evolutionary diagrams. Left panels: skewness S. Right panels: kurtosis K. In the evolutionary tracks, the symbols along the tracks from left to right are for redshifts z = 30, 10, 5, 3, 1, and 0. In the evolutionary diagrams, the symbols from top to bottom correspond to smoothing lengths 2, 4, 8, and 16 h−1 Mpc. The solid bold black curves show the skewness S(σ) and kurtosis K(σ) according to the log-normal distribution. The dashed curves show S = 3σ and K = 16σ2.
Current usage metrics show cumulative count of Article Views (full-text article views including HTML views, PDF and ePub downloads, according to the available data) and Abstracts Views on Vision4Press platform.
Data correspond to usage on the plateform after 2015. The current usage metrics is available 48-96 hours after online publication and is updated daily on week days.
Initial download of the metrics may take a while.