Fig. 9

Download original image
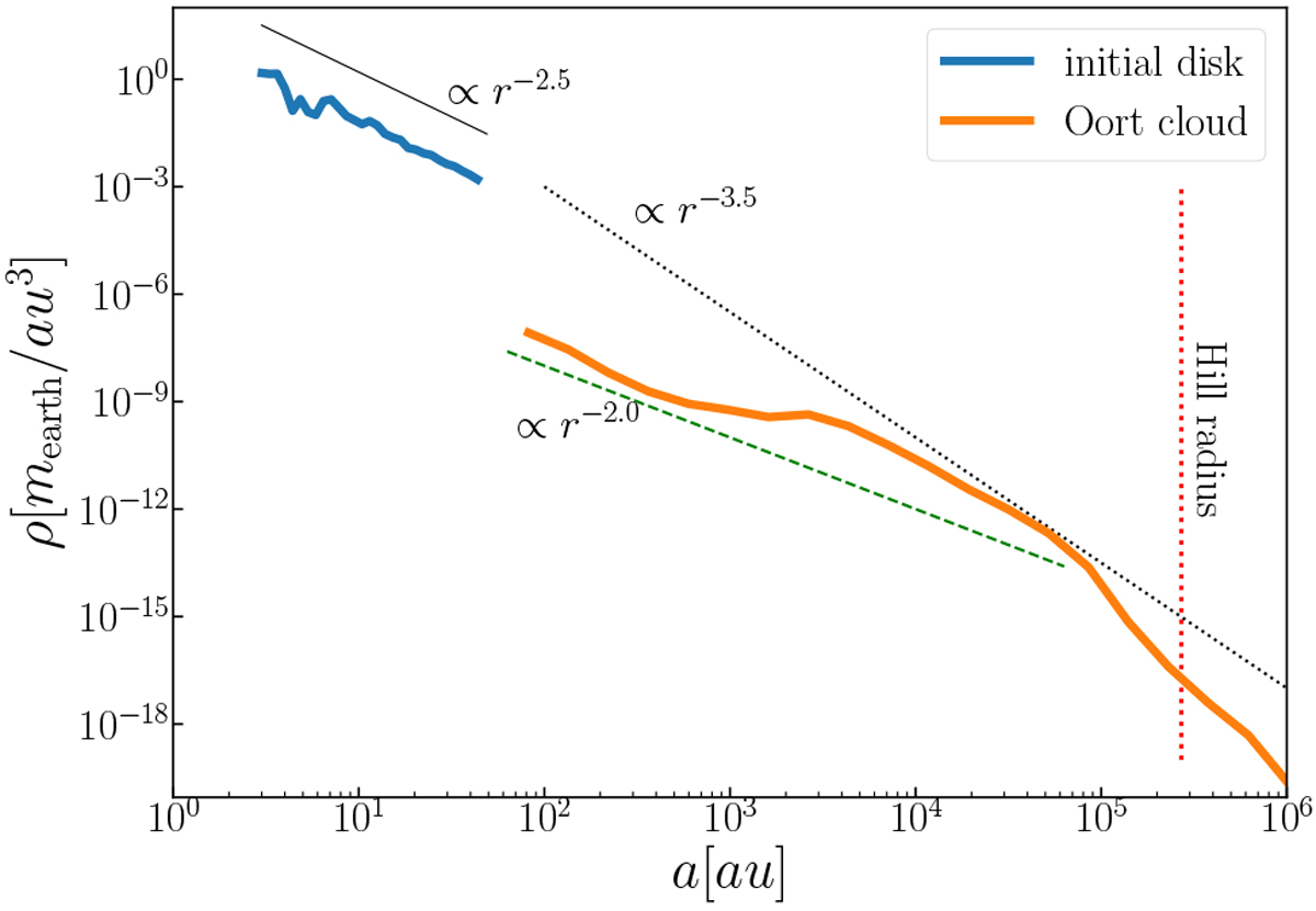
Density profile of the initial circumstellar debris disk (blue, to the top left) and the eventual Oort cloud, ~ 1 Gyr after the Solar System left the parent cluster (orange). The red dotted line to the right indicates the formal Hill radius of the Sun in its orbit around the Galactic center. The thin-solidblack-dotted curve shows the initial density profile of the circumstellar disk of ∝ r−2.5 (from simulations of Table 4). The thin dotted curve shows the density profile ∝ r−3.5 which, according to Leto et al. (2008), resembles the slope of the density profile of the Oort cloud. In our calculations, the distribution is somewhat shallower, but not as shallow as found by Higuchi & Kokubo (2015) who argue in favor of ∝ r−2.0, which is presented here with green dashes. The small tail of asteroids beyond the Solar System Hill radius in the Galactic tidal field has contributions of a minority of asteroids that remain bound to the Sun, and those that slowly move away.
Current usage metrics show cumulative count of Article Views (full-text article views including HTML views, PDF and ePub downloads, according to the available data) and Abstracts Views on Vision4Press platform.
Data correspond to usage on the plateform after 2015. The current usage metrics is available 48-96 hours after online publication and is updated daily on week days.
Initial download of the metrics may take a while.