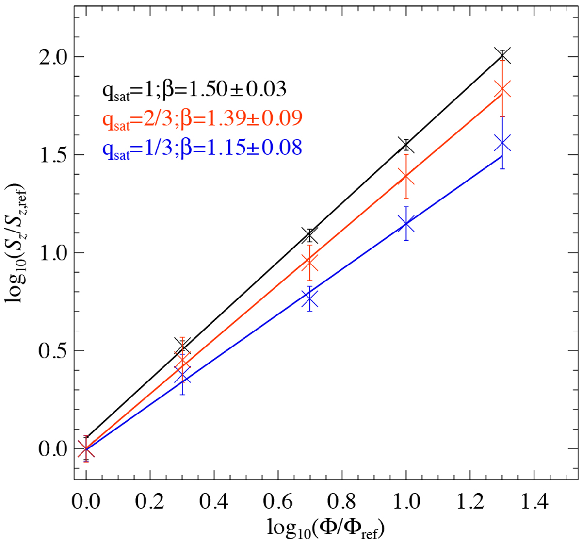
Fig. A.1

Effect of quenching of horizontal motions by strong magnetic field. We show the relation of the quenched Poynting flux as defined in Eq. (A.5) to the unsigned surface magnetic flux Φ. Each data point represents an average in time and space for each run. The values are normalized to model run 1B represented here by the subscript ‘ref’. The black line shows the power-law fit to the case where no quenching is included (i.e. qsat = 1). The red and blue lines show power-law fits for qsat = 2∕3 and 1/3. The corresponding power-law indices β for
are given with the legend.
Current usage metrics show cumulative count of Article Views (full-text article views including HTML views, PDF and ePub downloads, according to the available data) and Abstracts Views on Vision4Press platform.
Data correspond to usage on the plateform after 2015. The current usage metrics is available 48-96 hours after online publication and is updated daily on week days.
Initial download of the metrics may take a while.