Free Access

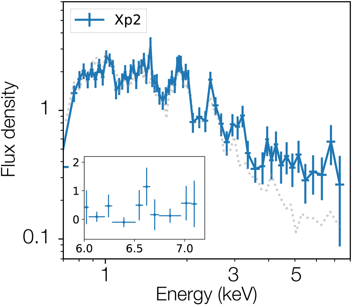
Fig. E.1.

image

Flux density spectrum of Xp2, obtained from the Chandra ACIS-S. Data are in units of 10−14 erg cm−2 s−1 keV−1. Estimated diffuse background is indicated by the dotted grey line. The inset shows the Fe K band spectrum.

Current usage metrics show cumulative count of Article Views (full-text article views including HTML views, PDF and ePub downloads, according to the available data) and Abstracts Views on Vision4Press platform.

Data correspond to usage on the plateform after 2015. The current usage metrics is available 48-96 hours after online publication and is updated daily on week days.

Initial download of the metrics may take a while.