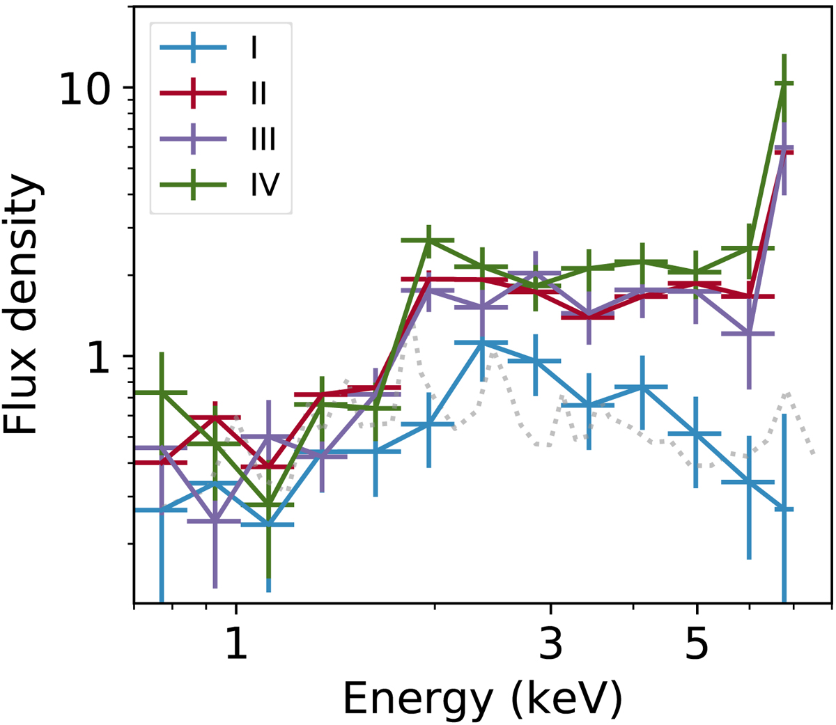
Fig. 4.

Chandra spectra of Xp12, taken in the four periods I (1999–2002), II (2009), III (2010), and IV (2012–2015); see Table 1. Each 0.7–7 keV low-resolution spectrum has been binned with 12 logarithmically equal intervals over 0.7–6.55 keV and a 6.55–7 keV interval for the Fe XXV emission at the highest energy end. The spectrum of Period I is comparable with the surrounding diffuse emission, indicated by the dotted grey line.
Current usage metrics show cumulative count of Article Views (full-text article views including HTML views, PDF and ePub downloads, according to the available data) and Abstracts Views on Vision4Press platform.
Data correspond to usage on the plateform after 2015. The current usage metrics is available 48-96 hours after online publication and is updated daily on week days.
Initial download of the metrics may take a while.