Highlight
Open Access

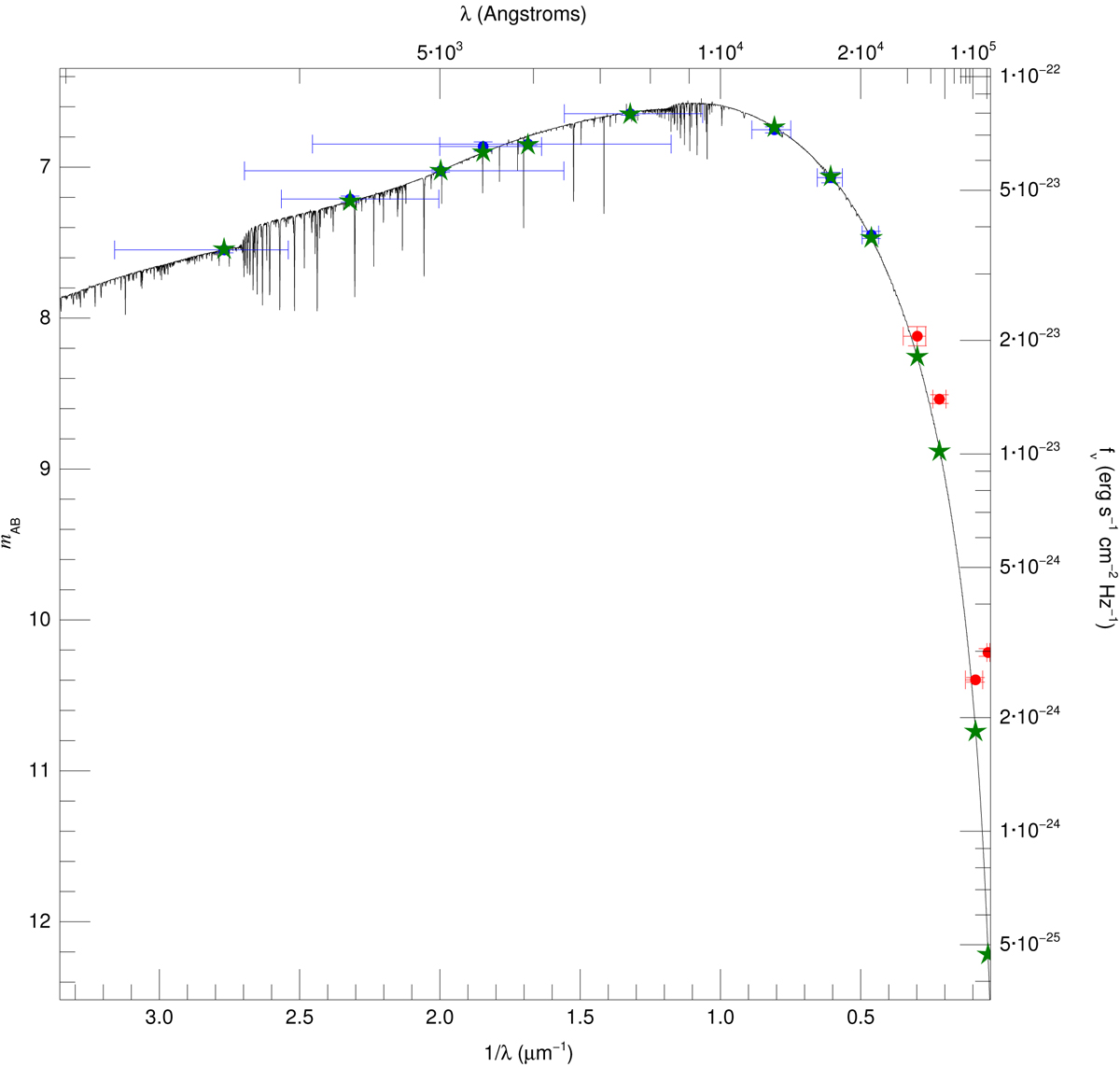
Fig. 18.

image

CHORIZOS mode SED. Blue error bars are used for the input photometry that was used for the fit (Gaia DR2 G + GBP + GRP, Johnson U + B + V, and 2MASS J + H + Ks) and red error bars for the discarded input photometry (WISE W1 + W2 + W3 + W4). In each case, the vertical error bar is the photometric uncertainty, and the horizontal error bar is a representation of the wavelength coverage of each filter. Green stars are used for the model photometry.

Current usage metrics show cumulative count of Article Views (full-text article views including HTML views, PDF and ePub downloads, according to the available data) and Abstracts Views on Vision4Press platform.

Data correspond to usage on the plateform after 2015. The current usage metrics is available 48-96 hours after online publication and is updated daily on week days.

Initial download of the metrics may take a while.