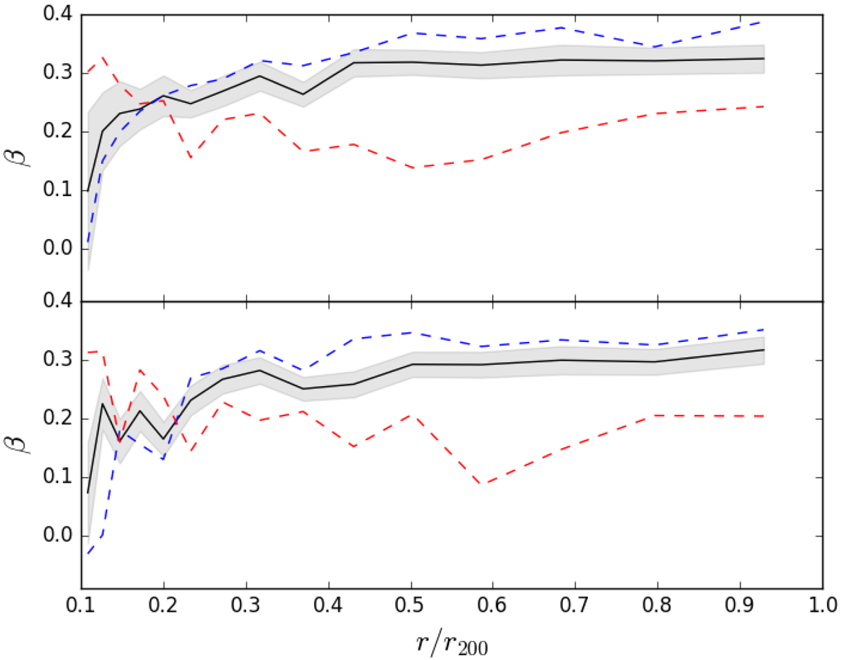
Fig. 11.

Median β(r) (solid black line) for 100 clusters of the DLB07 sample (top panel) and of the GAEA sample (bottom panel). The shaded regions represent error bars . The dashed blue and red lines show the median β(r) for clusters with χ2 ≤ 15 and, respectively, > 15, where χ2 is a value indicating the deviation of the individual cluster β(r) from the median one.
Current usage metrics show cumulative count of Article Views (full-text article views including HTML views, PDF and ePub downloads, according to the available data) and Abstracts Views on Vision4Press platform.
Data correspond to usage on the plateform after 2015. The current usage metrics is available 48-96 hours after online publication and is updated daily on week days.
Initial download of the metrics may take a while.