Free Access
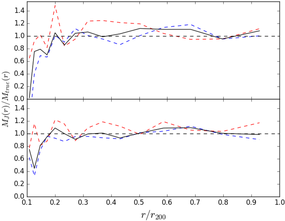
Fig. 12.

Median MJ(r)/Mtrue(r) ratio for clusters for clusters with high χ2β(r) (dashed red line) and for clusters with low-χ2β(r) (dashed blue line). The black solid line indicates the median MJ(r)/Mtrue(r) for all the 100 clusters. The top and bottom panels represent the DLB07 and GAEA samples, respectively.
Current usage metrics show cumulative count of Article Views (full-text article views including HTML views, PDF and ePub downloads, according to the available data) and Abstracts Views on Vision4Press platform.
Data correspond to usage on the plateform after 2015. The current usage metrics is available 48-96 hours after online publication and is updated daily on week days.
Initial download of the metrics may take a while.