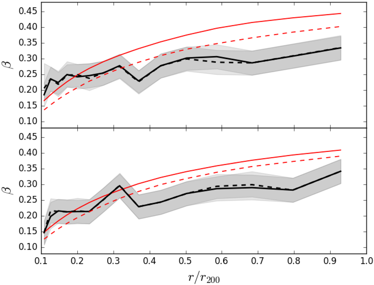
Fig. 16.

Median β(r) for three lines of sight of aligned (dashed lines) and not-aligned (solid line) clusters for the C sample obtained by the MAMPOSSt analysis (dashed red lines). The black lines indicate the β(r) obtained from full phase-space information for aligned (dashed) with the sight and not-aligned (solid) with the sight; the shaded region represents the uncertainty . Top panel: DLB07 sample. Bottom panel: GAEA sample.
Current usage metrics show cumulative count of Article Views (full-text article views including HTML views, PDF and ePub downloads, according to the available data) and Abstracts Views on Vision4Press platform.
Data correspond to usage on the plateform after 2015. The current usage metrics is available 48-96 hours after online publication and is updated daily on week days.
Initial download of the metrics may take a while.