Free Access
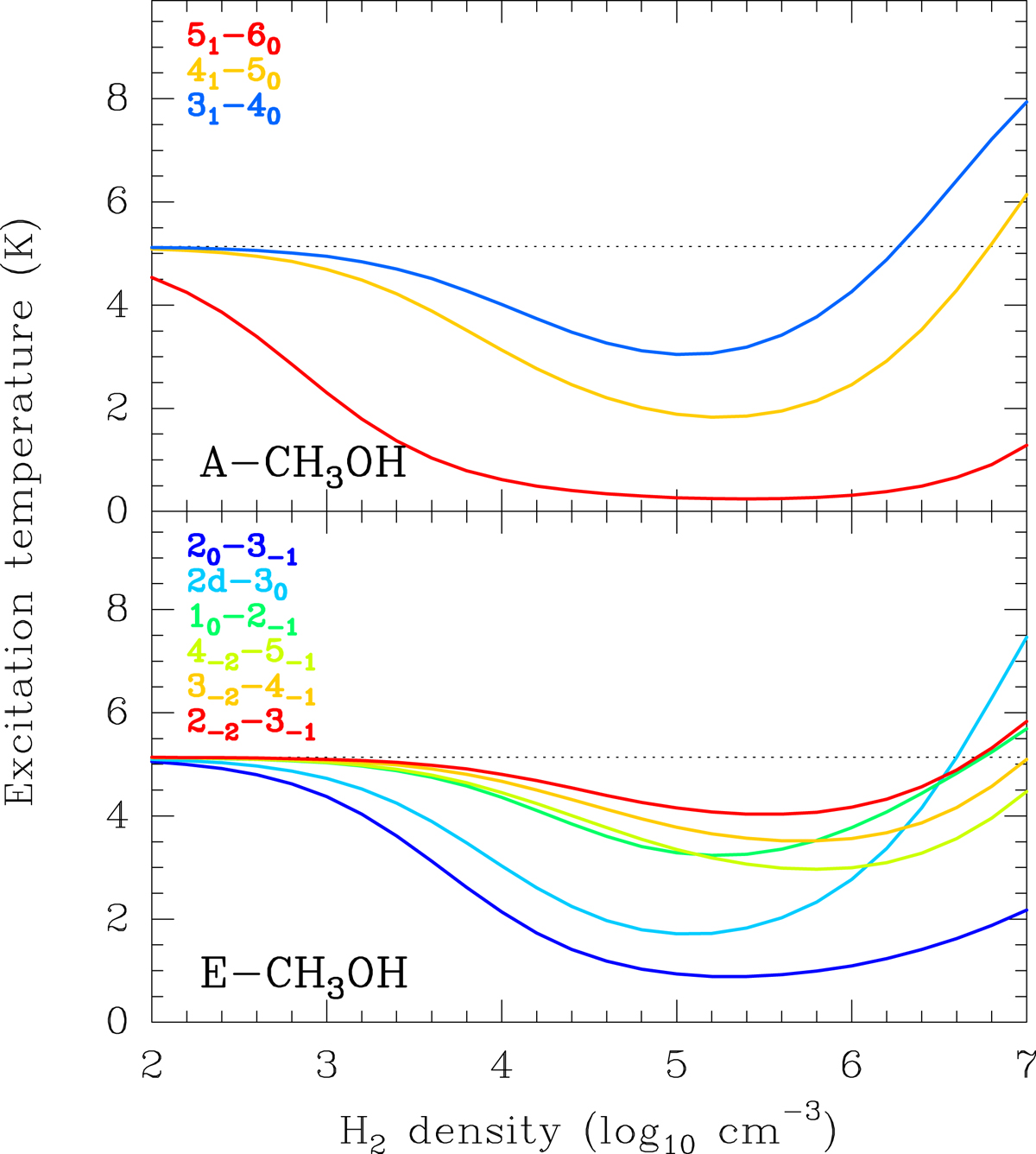
Fig. C.2.

Evolution of the excitation temperature with the H2 density for methanol transitions harboring the maximum anti-inversion effect between 1 and 1000 GHz. The settings are the same as in Fig. C.1. The CMB temperature at z = 0.89 is marked by dashed lines.
Current usage metrics show cumulative count of Article Views (full-text article views including HTML views, PDF and ePub downloads, according to the available data) and Abstracts Views on Vision4Press platform.
Data correspond to usage on the plateform after 2015. The current usage metrics is available 48-96 hours after online publication and is updated daily on week days.
Initial download of the metrics may take a while.