Open Access
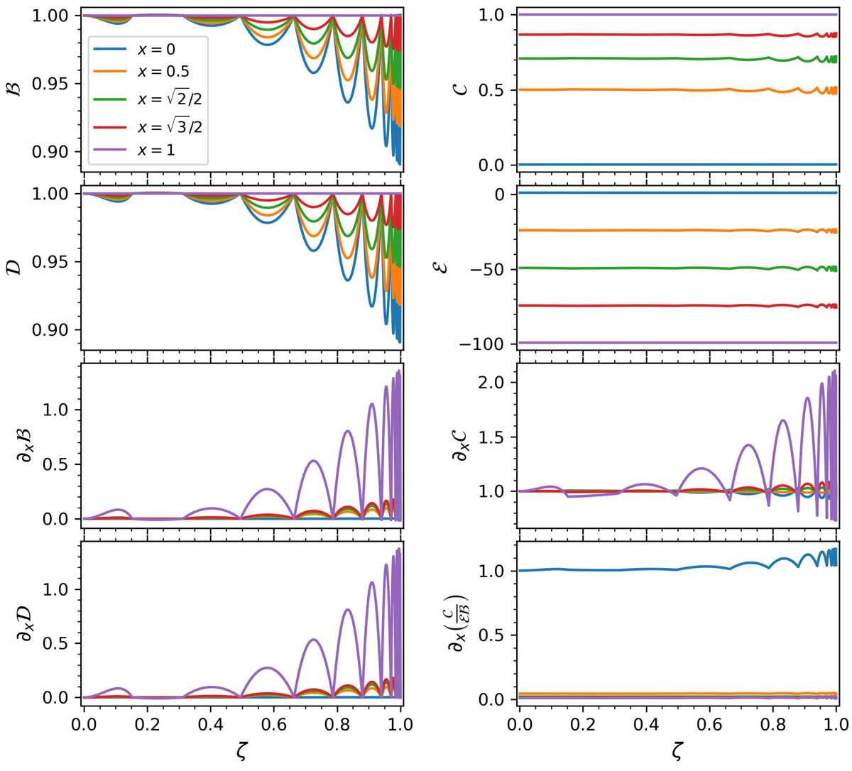
Fig. B.1.

Download original image
Profiles of the coefficients ℬ, 𝒞, 𝒟, ℰ, ∂xℬ, ∂x𝒞, ∂x𝒟 and involved in the derivation of the GLTE (Eq. (34)) as a function of ζ at different reduced colatitudes x using an ESTER model (M = 3 M⊙, Xc = 0.7) rotating at 20% of the Keplerian break-up rotation rate for a spin parameter ν = 10.
Current usage metrics show cumulative count of Article Views (full-text article views including HTML views, PDF and ePub downloads, according to the available data) and Abstracts Views on Vision4Press platform.
Data correspond to usage on the plateform after 2015. The current usage metrics is available 48-96 hours after online publication and is updated daily on week days.
Initial download of the metrics may take a while.