Fig. 4.

Download original image
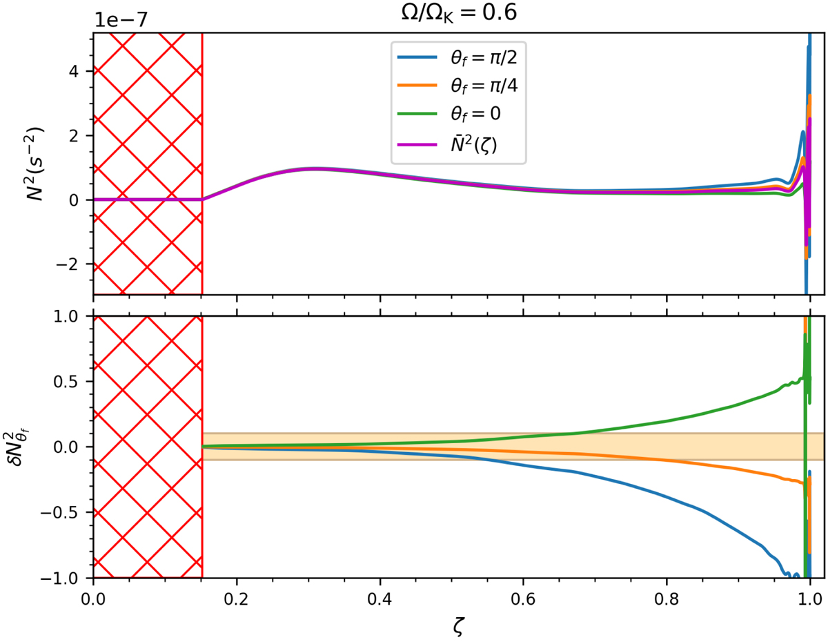
Profile of the squared Brunt–Väisälä frequency N2 and the relative error of the adopted approximation (Eq. (42)) as a function of ζ at different colatitudes θf using an ESTER model rotating at 60% of the Keplerian breakup rotation rate (The light orange area indicates the margin of error which we allow and the red hatched area represents the convective region of the star).
Current usage metrics show cumulative count of Article Views (full-text article views including HTML views, PDF and ePub downloads, according to the available data) and Abstracts Views on Vision4Press platform.
Data correspond to usage on the plateform after 2015. The current usage metrics is available 48-96 hours after online publication and is updated daily on week days.
Initial download of the metrics may take a while.