Fig. 9.

Download original image
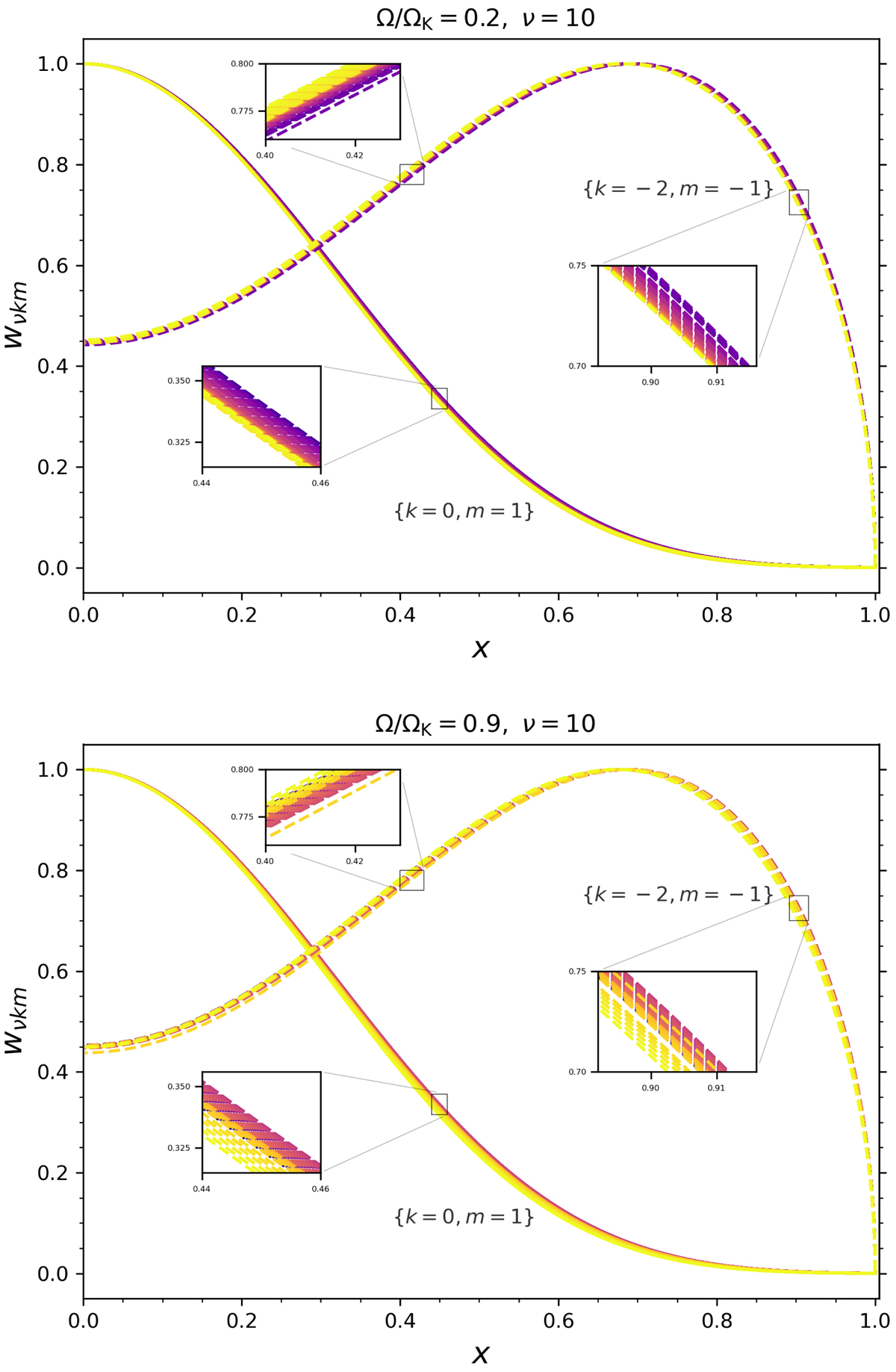
Generalised Hough functions (normalised to unity) as a function of the horizontal coordinate x at different pseudo-radii from ζ = 0.153 (blue) to ζ = ζlimit (yellow) for ν = 10, Ω/ΩK = 0.2 (above), and Ω/ΩK = 0.9 (below). The solid lines correspond to gravity-like solutions with {k = 1, m = 1}, while the dotted lines correspond to Rossby-like solutions with {k = −2, m = −1}.
Current usage metrics show cumulative count of Article Views (full-text article views including HTML views, PDF and ePub downloads, according to the available data) and Abstracts Views on Vision4Press platform.
Data correspond to usage on the plateform after 2015. The current usage metrics is available 48-96 hours after online publication and is updated daily on week days.
Initial download of the metrics may take a while.