Open Access
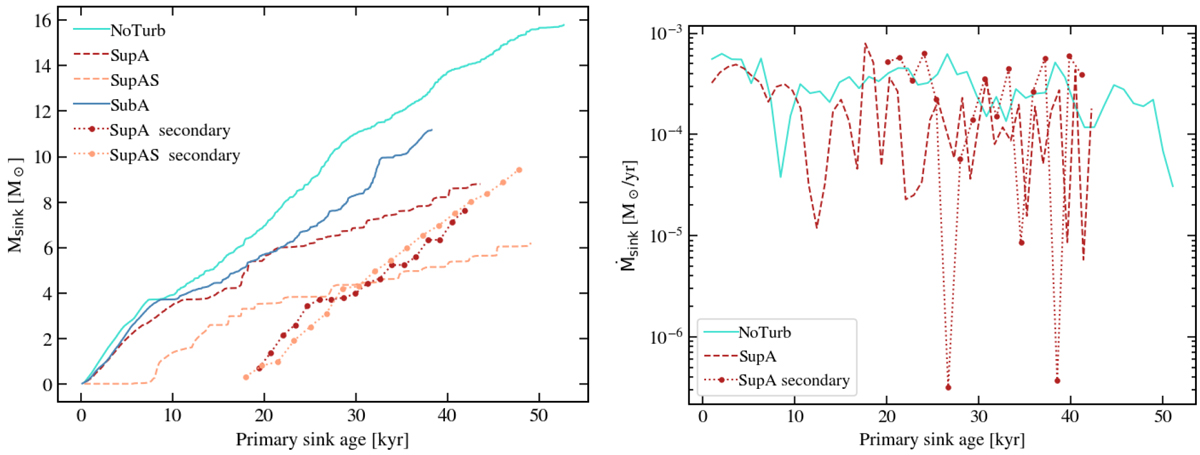
Fig. 5

Primary and secondary sink mass (left panel) and accretion rate (right panel) as a function of primary sink age for the four runs. The accretion rate is plotted for one sub-Alfvénic (NOTURB)and one super-Alfvénic (SUPA) run for readability. It has been smoothed over periods of ~ 1 kyr.
Current usage metrics show cumulative count of Article Views (full-text article views including HTML views, PDF and ePub downloads, according to the available data) and Abstracts Views on Vision4Press platform.
Data correspond to usage on the plateform after 2015. The current usage metrics is available 48-96 hours after online publication and is updated daily on week days.
Initial download of the metrics may take a while.