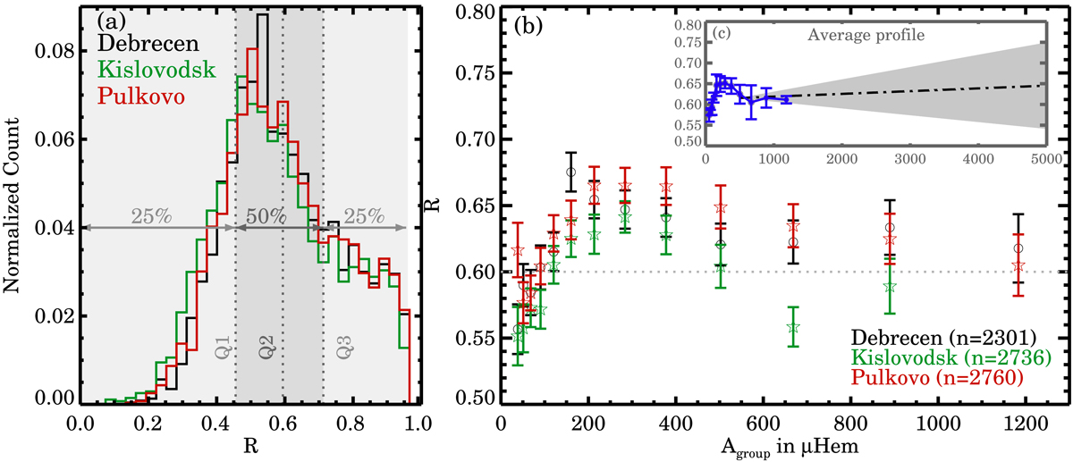
Fig. 3.

Results from the tracked data. Panel a: normalised distribution of R calculated at the time of maximum Agroup. Panel b: R as a function of Agroup. The error bars represent the standard deviations calculated for each bin. Panel c: same as panel b, but averaged over the three individual datasets. The dashed line is the linear fit to the data between 500 and 1200 μHem, whereas the grey shading highlights the 1σ uncertainty of the fit.
Current usage metrics show cumulative count of Article Views (full-text article views including HTML views, PDF and ePub downloads, according to the available data) and Abstracts Views on Vision4Press platform.
Data correspond to usage on the plateform after 2015. The current usage metrics is available 48-96 hours after online publication and is updated daily on week days.
Initial download of the metrics may take a while.