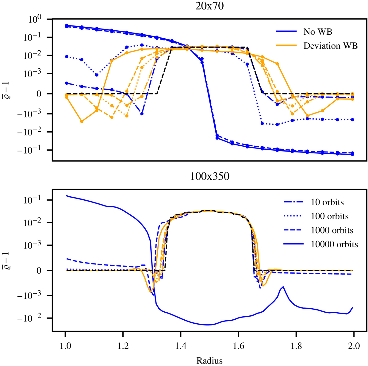
Fig. 14.

Time evolution of the angle-averaged density profiles in the Keplerian disk setup. Top panel: results with a grid resolution of 20 × 70 cells, where the dots on top of the lines represent corresponding results computed with implicit time stepping. Bottom panel: same quantity computed on a much finer grid of 100 × 350 cells. The black dashed lines in each panel show the respective initial density profiles.
Current usage metrics show cumulative count of Article Views (full-text article views including HTML views, PDF and ePub downloads, according to the available data) and Abstracts Views on Vision4Press platform.
Data correspond to usage on the plateform after 2015. The current usage metrics is available 48-96 hours after online publication and is updated daily on week days.
Initial download of the metrics may take a while.