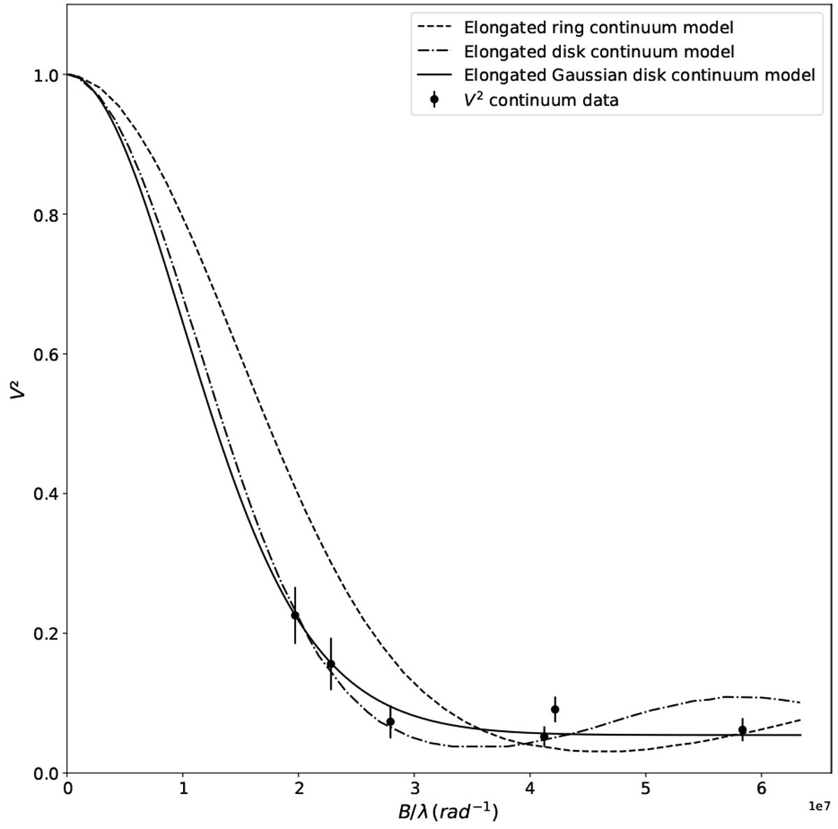
Fig. 1

Squared visibilities measured for the continuum adjacent to Brγ in V590 Mon as a function of the spatial frequency (solid dots with errorbars). The best fit is indicated with a solid line and corresponds to a Gaussian disk on top of the central star. Two additional fits corresponding to ring and uniform disk models are plotted with dashed and dot-dashed lines.
Current usage metrics show cumulative count of Article Views (full-text article views including HTML views, PDF and ePub downloads, according to the available data) and Abstracts Views on Vision4Press platform.
Data correspond to usage on the plateform after 2015. The current usage metrics is available 48-96 hours after online publication and is updated daily on week days.
Initial download of the metrics may take a while.