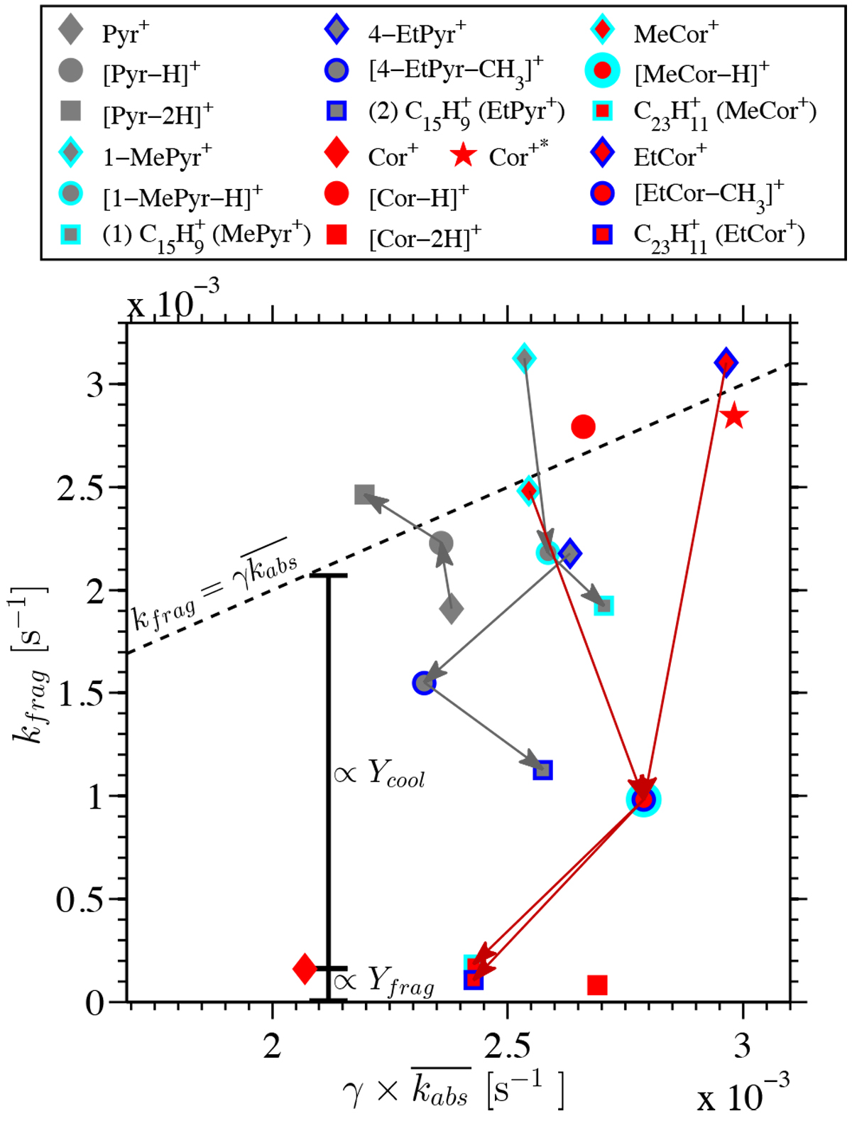
Fig. 10

Fragmentation rate of the studied species (apart H6-Pyr+) as a functionof the rescaled average absorption rate (by the γ
factor, seetext for details). The pyrene-based (resp. coronene-based) species are in gray (resp. red). The cyan (resp. blue) edge indicates the methylated (resp. ethylated) species. The dashed line corresponds to
. The fragmentation fraction (Yfrag) and the cooling fraction (Ycool) are displayed for Cor+ as an example. For MeCor+ and EtCor+, the arrows point to the increased stability in the fragments formed by VUV processing. All the Ycool values are given in Table 1.
Current usage metrics show cumulative count of Article Views (full-text article views including HTML views, PDF and ePub downloads, according to the available data) and Abstracts Views on Vision4Press platform.
Data correspond to usage on the plateform after 2015. The current usage metrics is available 48-96 hours after online publication and is updated daily on week days.
Initial download of the metrics may take a while.