Open Access
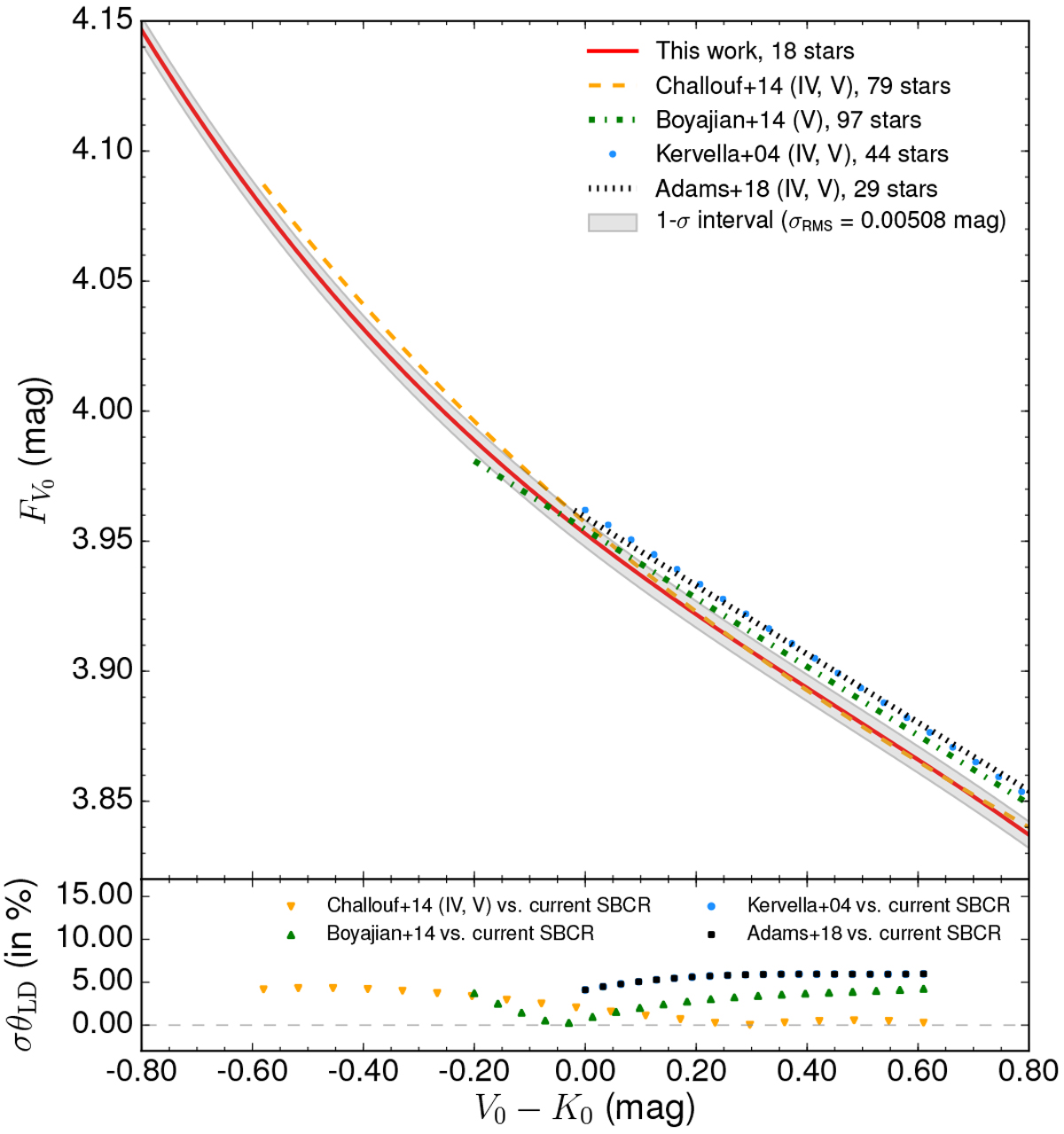
Fig. 3

Top panel: comparison between our SBCR for early-type stars and relations of Challouf et al. (2014), Boyajian et al. (2014), Kervella et al. (2004), and Adams et al. (2018). Bottom panel: differences in angular diameter estimates between ourSBCR and the other relations. See Sect. 5.3 for more details on the comparison.
Current usage metrics show cumulative count of Article Views (full-text article views including HTML views, PDF and ePub downloads, according to the available data) and Abstracts Views on Vision4Press platform.
Data correspond to usage on the plateform after 2015. The current usage metrics is available 48-96 hours after online publication and is updated daily on week days.
Initial download of the metrics may take a while.