Free Access

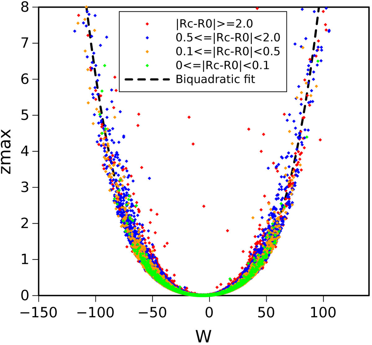
Fig. 1.

image

Maximum height zmax (kpc) in terms of the vertical heliocentric velocity W (km s−1), with the biquadratic fit of Paper I (discontinuous line). The distance to the local radius is indicated in the colours.

Current usage metrics show cumulative count of Article Views (full-text article views including HTML views, PDF and ePub downloads, according to the available data) and Abstracts Views on Vision4Press platform.

Data correspond to usage on the plateform after 2015. The current usage metrics is available 48-96 hours after online publication and is updated daily on week days.

Initial download of the metrics may take a while.