Free Access

Fig. 13.

image

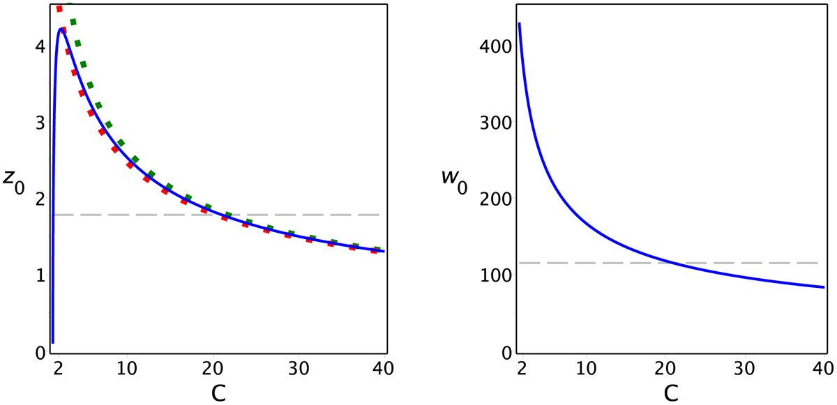
Maximum height (left) z0 (kpc) in terms of C (blue curve) from Eq. (F.3), compared to the approximations from Eq. (F.4) (green, similar to Eq. (25)) and Eq. (F.5) (red). Maximum vertical peculiar velocity (right) of disc stars w0 (km s−1) from Eq. (26). The dashed grey lines mark the estimated values, z0 = 1.8 kpc and w0 = 115 km s−1, for C = 21.

Current usage metrics show cumulative count of Article Views (full-text article views including HTML views, PDF and ePub downloads, according to the available data) and Abstracts Views on Vision4Press platform.

Data correspond to usage on the plateform after 2015. The current usage metrics is available 48-96 hours after online publication and is updated daily on week days.

Initial download of the metrics may take a while.