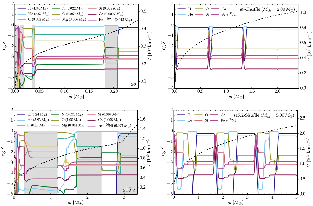
Fig. 1

Illustration of the composition profile in the original model and after shuffling individual shells. Left: chemical composition versus Lagrangian mass in the s9 and s15p2 ejecta models of S16 at 350 days (the original mass fraction is shown for 56Ni) – ejecta properties are summarized in Table 1. The name and total yield of each selected species are labeled.An alternating white and gray background is used to distinguish between consecutive shells of distinct composition. Right: corresponding ejecta in which shells have been shuffled in mass space within the Lagrangian mass cut Msh = 2.0 and 5.0 M⊙. Other ejecta models exhibit similar profiles, only modulated by the original composition (in particular the mass of each dominant shell) and the choice of Msh (details on the shuffling procedure are given in the appendix of Dessart & Hillier 2020b).
Current usage metrics show cumulative count of Article Views (full-text article views including HTML views, PDF and ePub downloads, according to the available data) and Abstracts Views on Vision4Press platform.
Data correspond to usage on the plateform after 2015. The current usage metrics is available 48-96 hours after online publication and is updated daily on week days.
Initial download of the metrics may take a while.