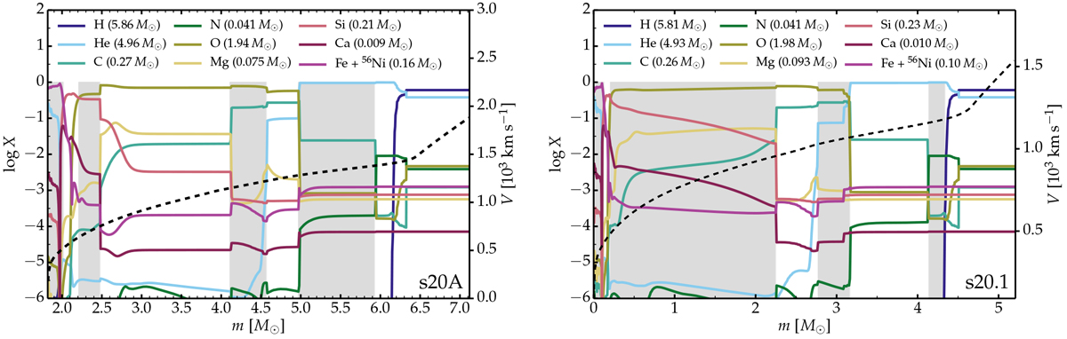
Fig. B.1

Chemical composition versus Lagrangian mass in the s20A model (left) of WH07 and the s20p1 model (right) of S16 at 350 days (the original mass fraction of 56Ni is shown together with that of Fe). The origin of the x-axis is at the neutron-star center in the left panel, or at the neutron star surface (at a Lagrangian mass of 1.82 M⊙) in the right panel. Si–O shell merging is present in the s20p1 model, but absent in the s20A model.
Current usage metrics show cumulative count of Article Views (full-text article views including HTML views, PDF and ePub downloads, according to the available data) and Abstracts Views on Vision4Press platform.
Data correspond to usage on the plateform after 2015. The current usage metrics is available 48-96 hours after online publication and is updated daily on week days.
Initial download of the metrics may take a while.