Open Access

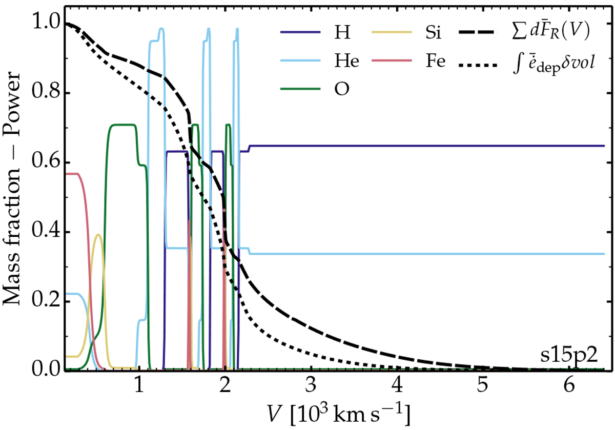
Fig. 6

image

Profiles for the composition of dominant species, the cumulative decay power absorbed, and the cumulative frequency-integrated flux versus depth. For the latter two, the sum is performed inward from the outermost ejecta location and normalized for visibility.

Current usage metrics show cumulative count of Article Views (full-text article views including HTML views, PDF and ePub downloads, according to the available data) and Abstracts Views on Vision4Press platform.

Data correspond to usage on the plateform after 2015. The current usage metrics is available 48-96 hours after online publication and is updated daily on week days.

Initial download of the metrics may take a while.