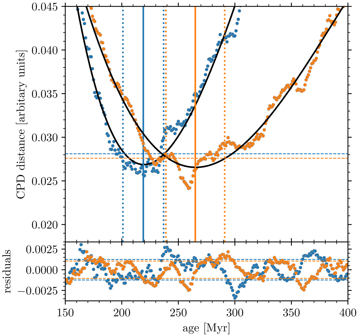
Fig. 11.

Rotational age for NGC 3532 with respect to the M15 (blue) and B10 (orange) models using the NGC 2516 rotation period observations as the starting point at 150 Myr. Top: median distance between the slow rotator sequence of NGC 3532 and the evolved sequence of NGC 2516 against age. Coloured points show the measured distance and the solid black lines are the fitted polynomials. Their minima (219 Myr and 265 Myr) are marked by the solid vertical lines. The age uncertainties (18 Myr and 26 Myr) are indicated by the vertical dotted lines. The dashed horizontal line for each model marks the sum of minimum of the polynomial and the standard deviation of the residuals to illustrate the calculation of the age uncertainty. Bottom: residuals of the fits with their standard deviations are marked using dashed lines.
Current usage metrics show cumulative count of Article Views (full-text article views including HTML views, PDF and ePub downloads, according to the available data) and Abstracts Views on Vision4Press platform.
Data correspond to usage on the plateform after 2015. The current usage metrics is available 48-96 hours after online publication and is updated daily on week days.
Initial download of the metrics may take a while.