Free Access
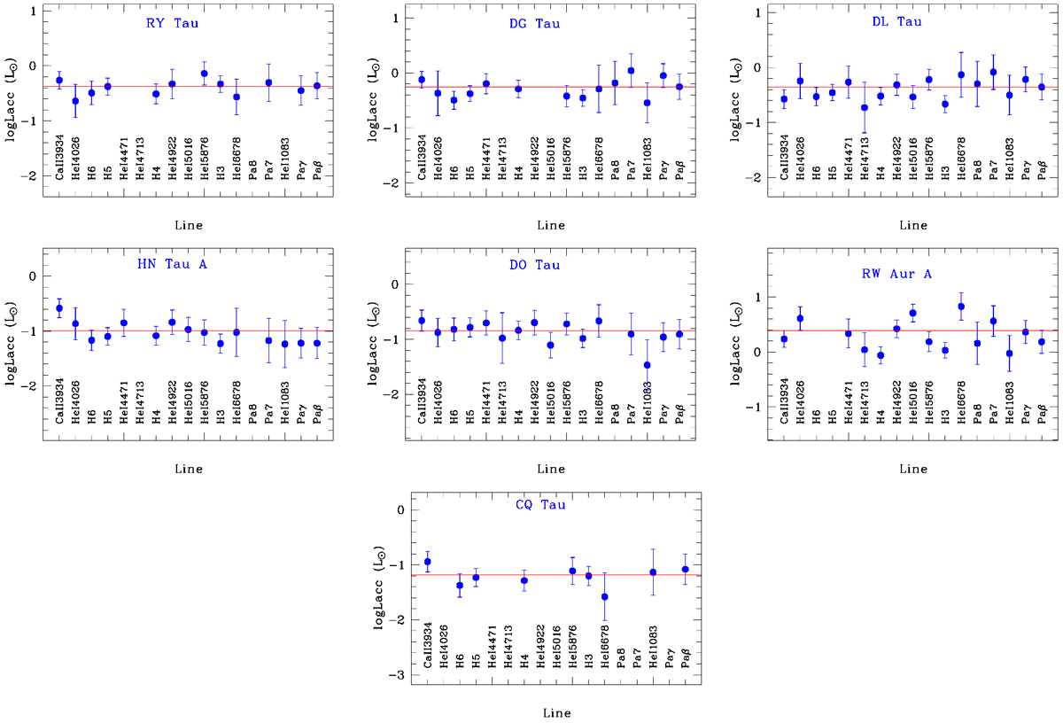
Fig. 7

Lacc as a function of the different accretion diagnostic as labeled for the seven targets (blue dots). The vertical error bars consider the error in Lline as well as the errors in the Lacc–Lline relationships. The horizontal red lines in each panel represent the average Lacc.
Current usage metrics show cumulative count of Article Views (full-text article views including HTML views, PDF and ePub downloads, according to the available data) and Abstracts Views on Vision4Press platform.
Data correspond to usage on the plateform after 2015. The current usage metrics is available 48-96 hours after online publication and is updated daily on week days.
Initial download of the metrics may take a while.