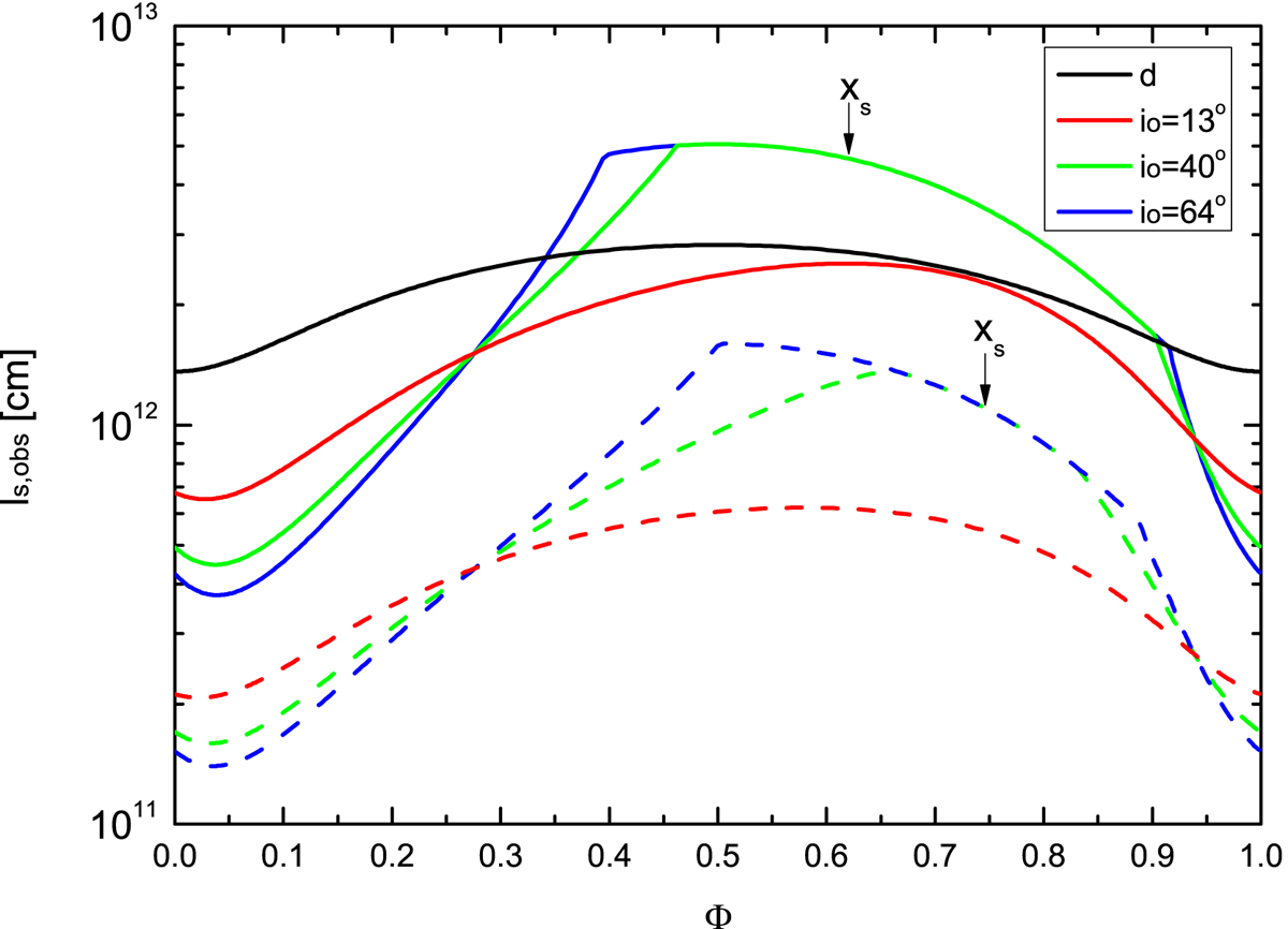
Fig. 6.

Orbital modulations of the cavity size along the LOS, ls, obs, for LS 5039 with different orbital inclination angles. The adopted pulsar spin-down luminosity and the stellar wind velocity are Lsd = 6 × 1036 erg s−1 and vw = 3 × 108 cm s−1. Solid lines represent the cases with Ṁ = 1 × 10−7 M⊙ yr−1 (i.e. the corresponding momentum rate ratio is η ≃ 0.1), while dashed lines are for Ṁ = 1 × 10−6 M⊙ yr−1 (i.e. η ≃ 0.01). The black solid line shows binary separation for comparison.
Current usage metrics show cumulative count of Article Views (full-text article views including HTML views, PDF and ePub downloads, according to the available data) and Abstracts Views on Vision4Press platform.
Data correspond to usage on the plateform after 2015. The current usage metrics is available 48-96 hours after online publication and is updated daily on week days.
Initial download of the metrics may take a while.