Free Access
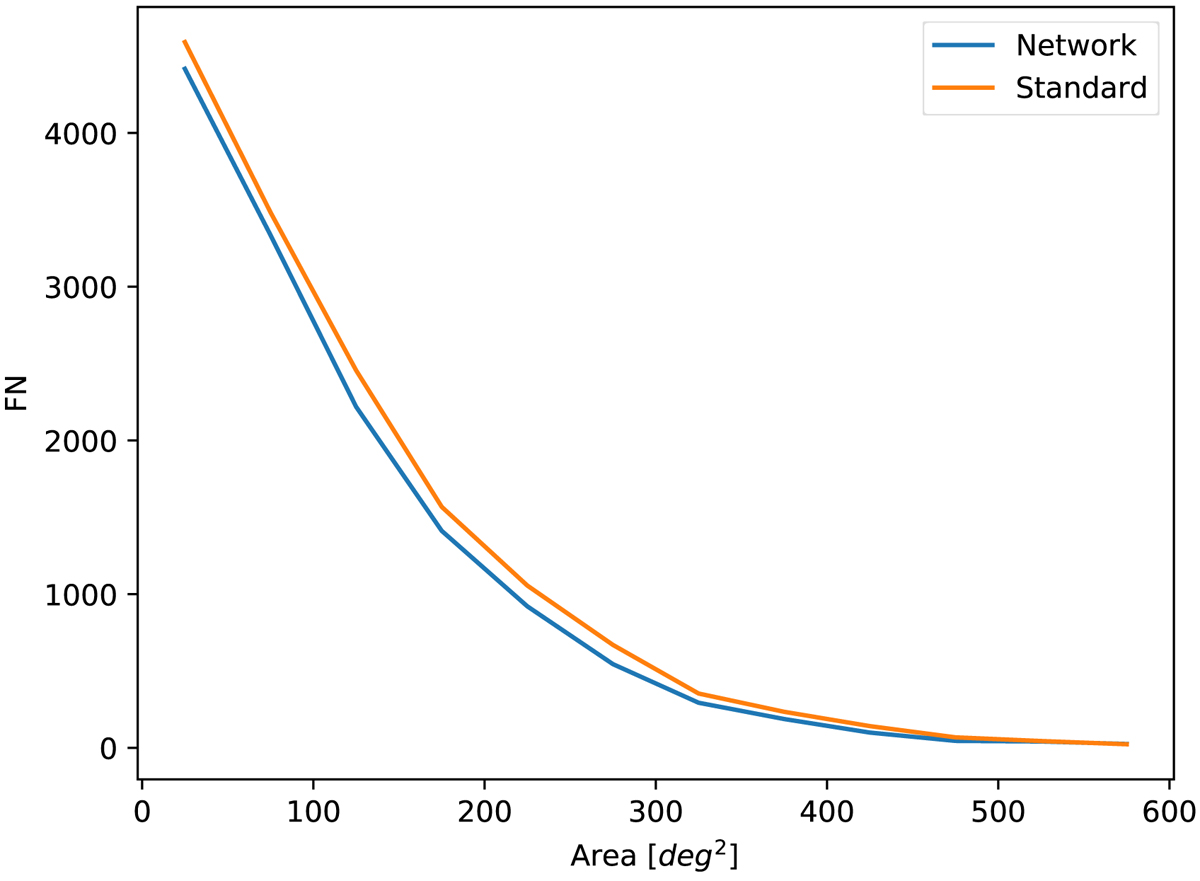
Fig. 6.

False negatives from the network (blue line) and from the standard method (orange line) as a function of the area of the regions on the activity masks, for the whole range of dates of the study. Only the output from the same date as the EUV mask was used for this result, for each method and each EUV mask.
Current usage metrics show cumulative count of Article Views (full-text article views including HTML views, PDF and ePub downloads, according to the available data) and Abstracts Views on Vision4Press platform.
Data correspond to usage on the plateform after 2015. The current usage metrics is available 48-96 hours after online publication and is updated daily on week days.
Initial download of the metrics may take a while.