Free Access

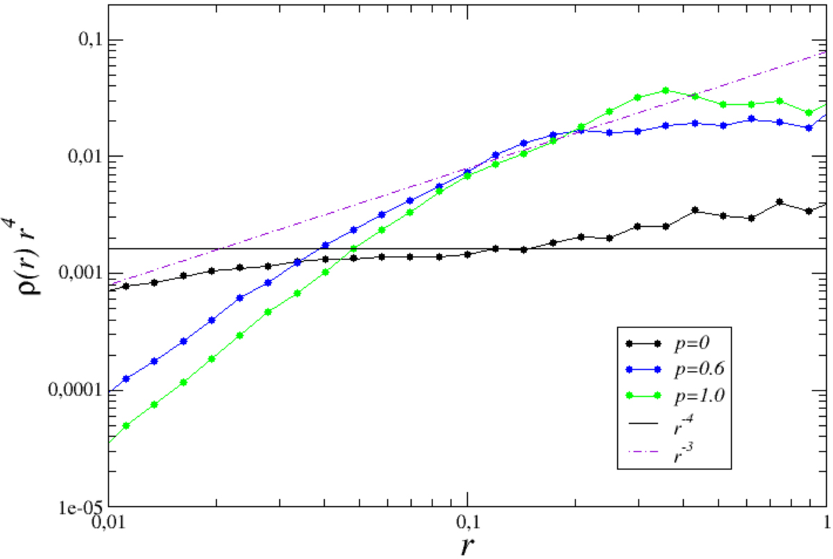
Fig. 6.

image

Density profiles multiplied by r4 for simulations with glass ICs and N0 = 5 × 104 for different values of p. Two reference lines with exponents −4 and −3 are also plotted. The softening length is ε = 3 × 10−4.

Current usage metrics show cumulative count of Article Views (full-text article views including HTML views, PDF and ePub downloads, according to the available data) and Abstracts Views on Vision4Press platform.

Data correspond to usage on the plateform after 2015. The current usage metrics is available 48-96 hours after online publication and is updated daily on week days.

Initial download of the metrics may take a while.