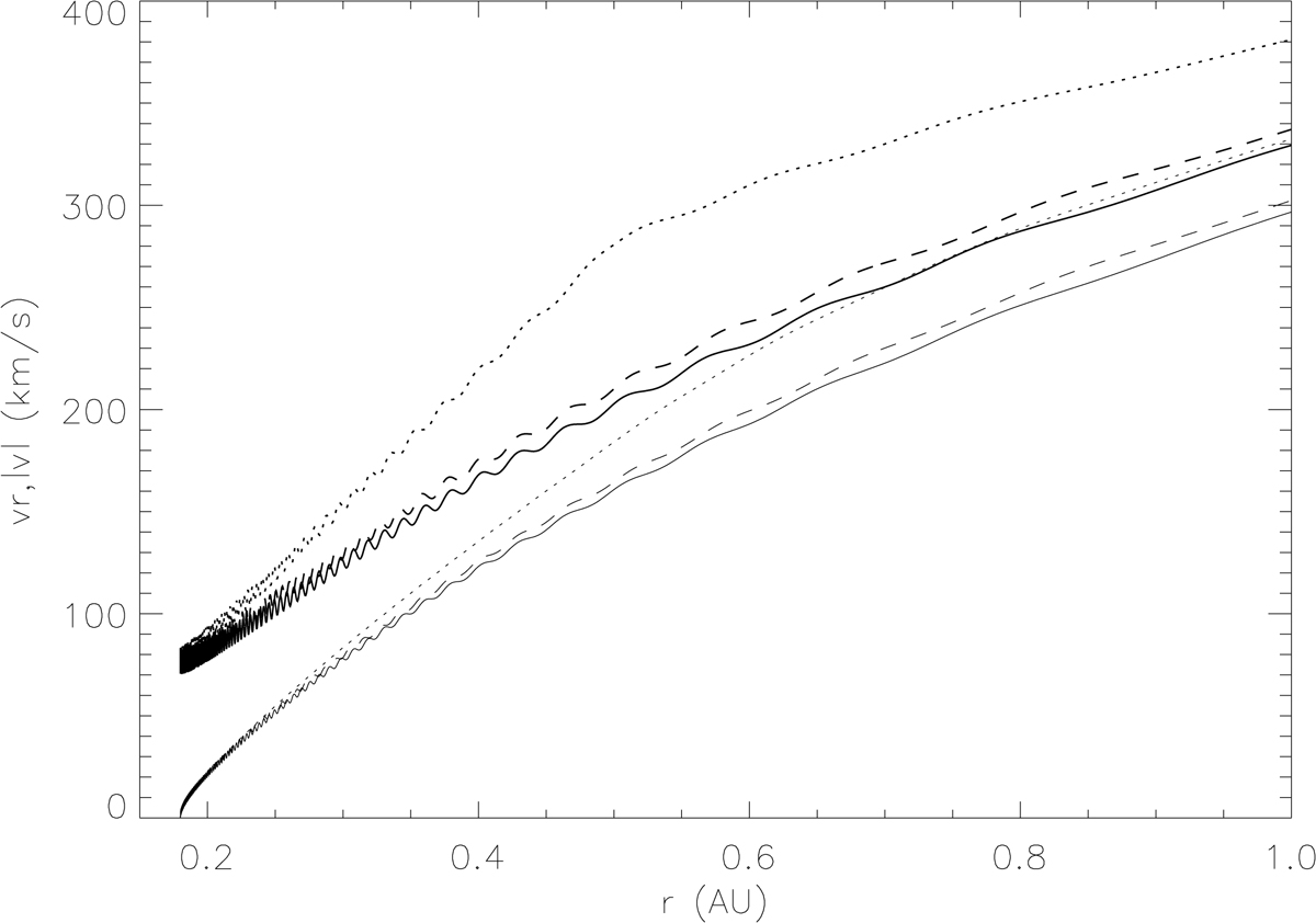
Fig. 5.

Plots of total speed and the radial velocity component vs heliocentric distance for the nanodust particles (Q/m = 10−4e/mp) released just outside of the trapping region for different assumptions about plasma corotation: no corotation (solid line), maximum corotation (dotted line), and the model of Weber and Davis (dashed line). To extend the corotation region, the Alfvén radius was artificially set at 0.5 AU.
Current usage metrics show cumulative count of Article Views (full-text article views including HTML views, PDF and ePub downloads, according to the available data) and Abstracts Views on Vision4Press platform.
Data correspond to usage on the plateform after 2015. The current usage metrics is available 48-96 hours after online publication and is updated daily on week days.
Initial download of the metrics may take a while.