Open Access

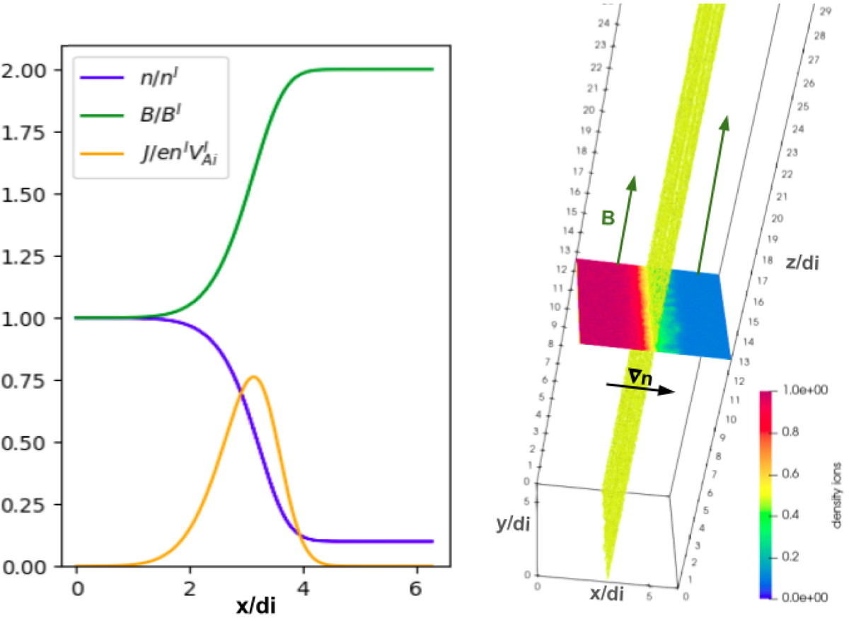
Fig. 1.

image

Schematic view of the setup of the full-kinetic 3D-3V simulations presented in this study. Left panel: Density, magnetic field, and current profiles at t = 0 along the direction of the inhomogeneity (x-axis) in the “strong gradient” simulation. Right panel: 3D visualization of the ion density in the “strong gradient” simulation at , the LHDI fluctuations are highlighted in the unstable plane (yellow) and in a cut that is perpendicular to the ambient magnetic field.

Current usage metrics show cumulative count of Article Views (full-text article views including HTML views, PDF and ePub downloads, according to the available data) and Abstracts Views on Vision4Press platform.

Data correspond to usage on the plateform after 2015. The current usage metrics is available 48-96 hours after online publication and is updated daily on week days.

Initial download of the metrics may take a while.