Fig. 3.

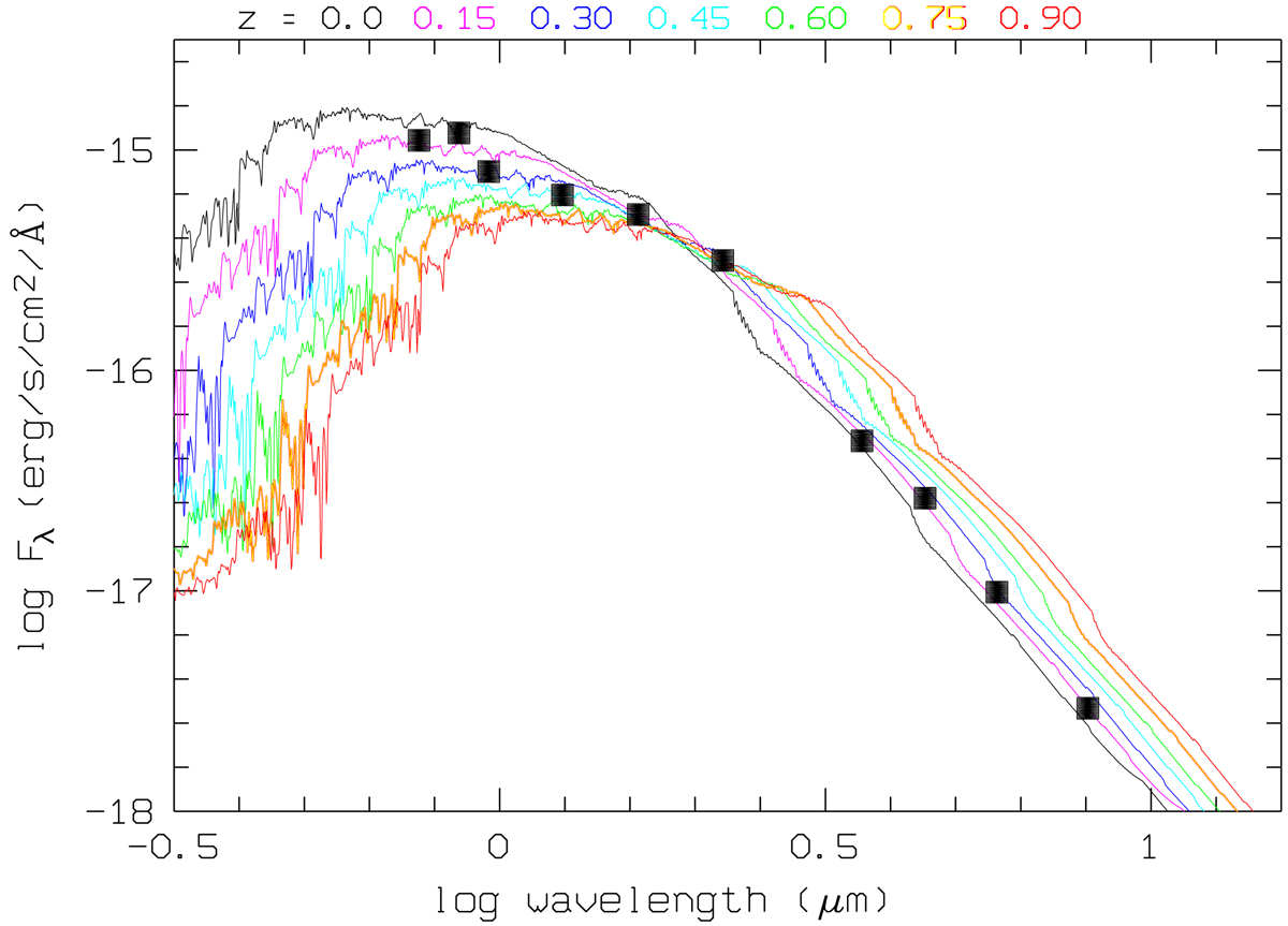
Observed SED of G13 (black squares) based on corrected aperture magnitudes from Pan-STARRS rzy, UKIDSS JHK, and the four Spitzer IRAC bands corrected for Galactic interstellar extinction with E(B − V) = 2. The formal error bars for the photometric uncertainties are smaller than the symbol size. For comparison, the redshifted template spectrum of a 13 Gyr old E galaxy from Polletta et al. (2007) is overplotted for z = 0.0 − 0.90 in steps of 0.15 (colors).
Current usage metrics show cumulative count of Article Views (full-text article views including HTML views, PDF and ePub downloads, according to the available data) and Abstracts Views on Vision4Press platform.
Data correspond to usage on the plateform after 2015. The current usage metrics is available 48-96 hours after online publication and is updated daily on week days.
Initial download of the metrics may take a while.