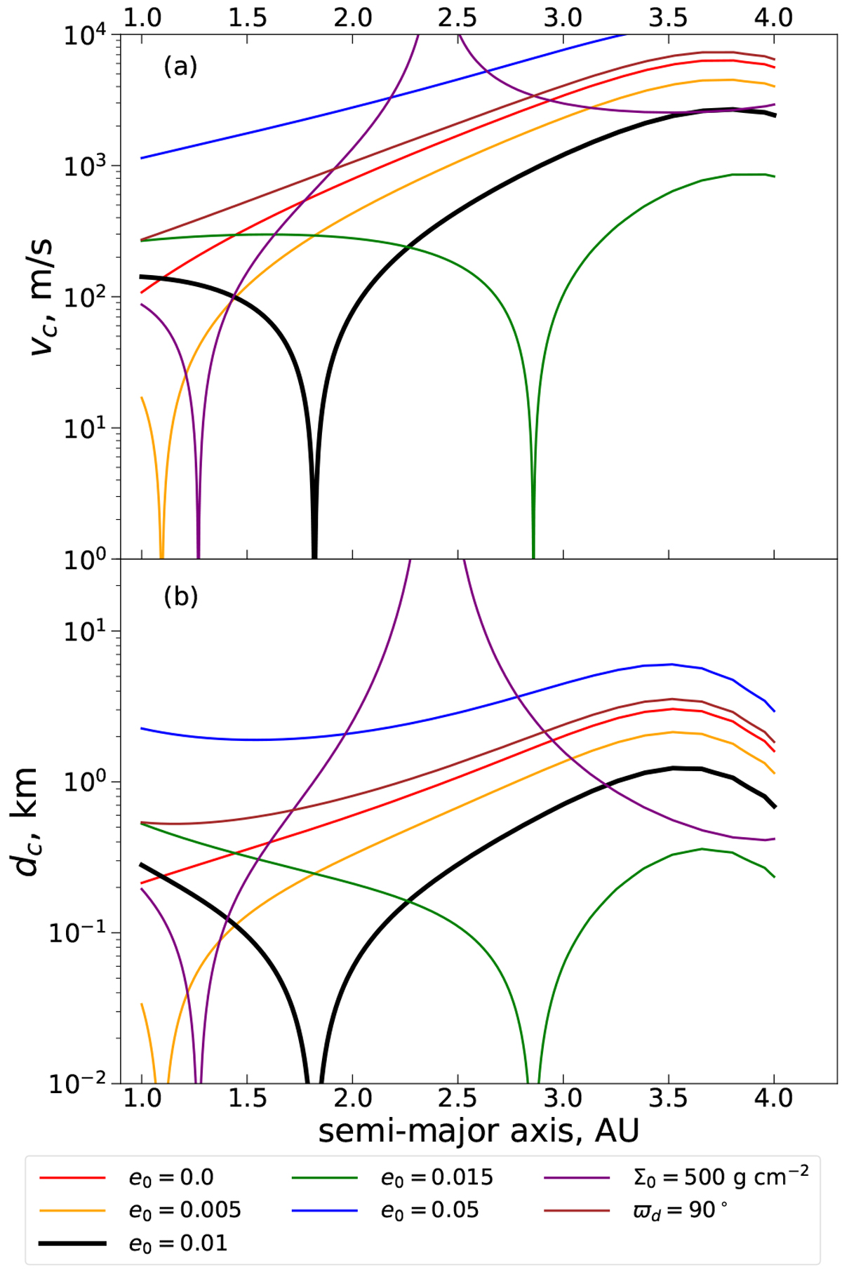
Fig. 1

Radial profiles of characteristic velocity vc (a) and planetesimal size dc (b) for different disk models, in which we vary disk eccentricity e0, surface density normalization Σ0, and apsidal angle ϖd (one parameter at a time relative to the fiducial model described in Sect. 5 and shown with the thick black curve), as indicated in the legend. See the text for more details on various features of these curves.
Current usage metrics show cumulative count of Article Views (full-text article views including HTML views, PDF and ePub downloads, according to the available data) and Abstracts Views on Vision4Press platform.
Data correspond to usage on the plateform after 2015. The current usage metrics is available 48-96 hours after online publication and is updated daily on week days.
Initial download of the metrics may take a while.