Open Access
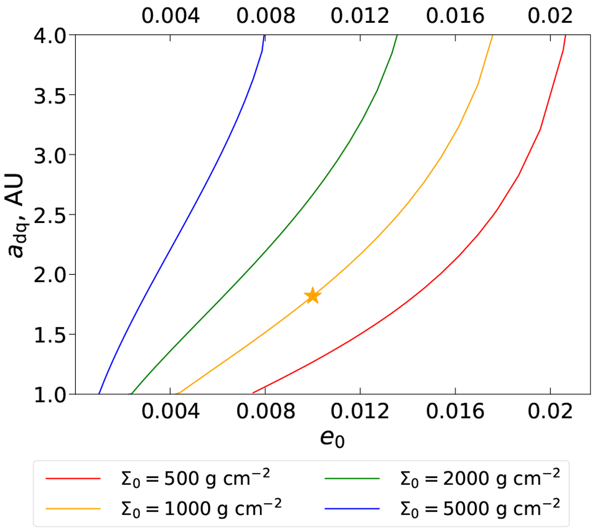
Fig. 12

Location adq of the dynamically quiet zone in an apsidally aligned disk. We assume the fiducial disk plus binary parameters, except for Σ0 and e0 which are varied as shown on the plot. The fiducial model is marked by an orange star along the curve corresponding to Σ0 = 1000 g cm−2.
Current usage metrics show cumulative count of Article Views (full-text article views including HTML views, PDF and ePub downloads, according to the available data) and Abstracts Views on Vision4Press platform.
Data correspond to usage on the plateform after 2015. The current usage metrics is available 48-96 hours after online publication and is updated daily on week days.
Initial download of the metrics may take a while.