Open Access
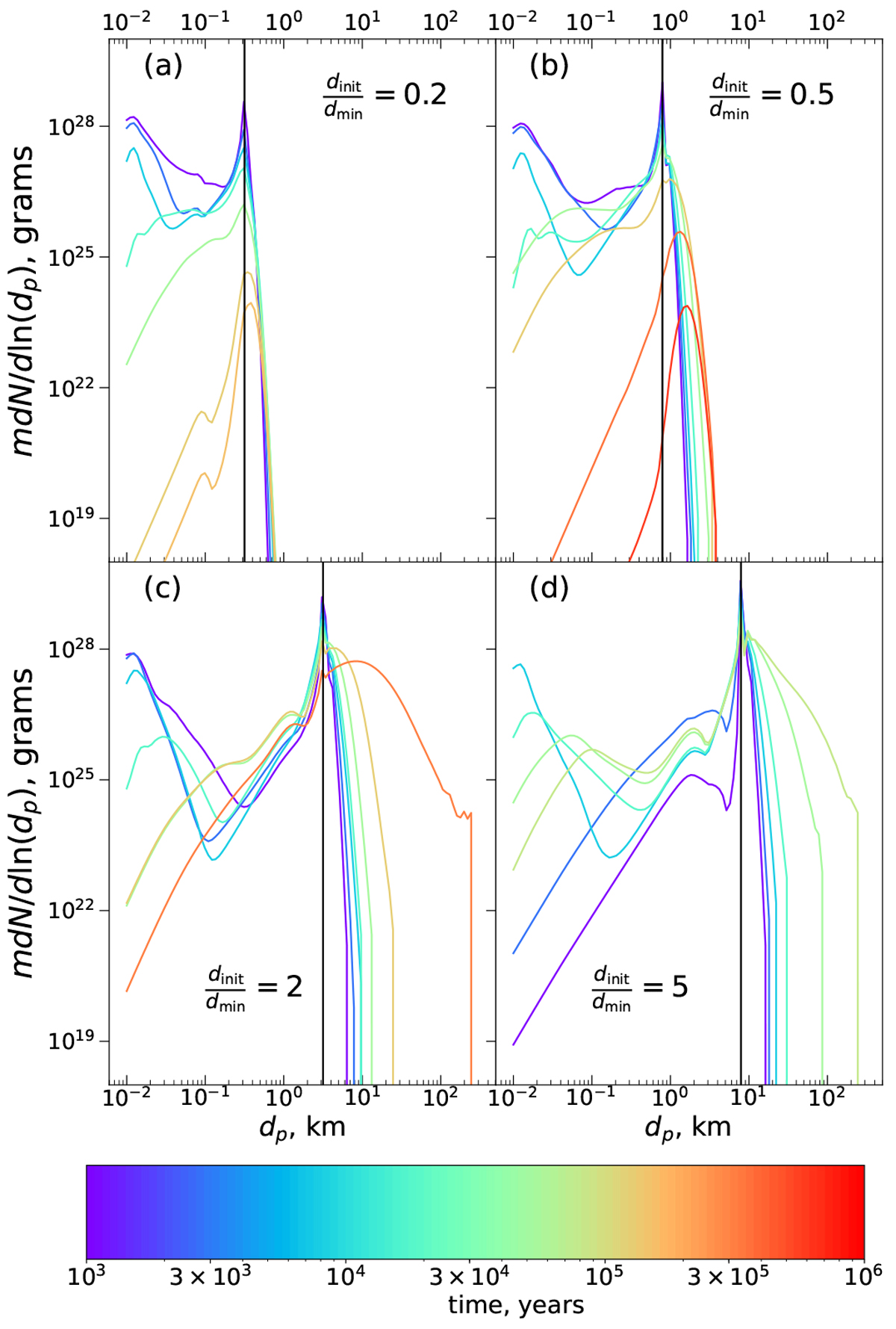
Fig. 6

Evolution of the mass distribution in the entire disk in our fiducial multi-zone model (Simulation 1). Different panels are produced for different initial planetesimal sizes dinit in terms of dmin (as labeled on the plot), which is dmin = 1.6 km for this simulation.
Current usage metrics show cumulative count of Article Views (full-text article views including HTML views, PDF and ePub downloads, according to the available data) and Abstracts Views on Vision4Press platform.
Data correspond to usage on the plateform after 2015. The current usage metrics is available 48-96 hours after online publication and is updated daily on week days.
Initial download of the metrics may take a while.