Free Access
Table A.6
TOI-1213 stellar and companion parameters.
Star name & aliases: TOI 1213, TIC 399 144 800, TYC 8970-00020-1, UCAC4 114-034370, 2MASS J10524799-6 723 161 | ||||
---|---|---|---|---|
Parameter | Unit | Source | Value | |
Stellar parameters | ||||
α | Right ascension (hh:mm:ss) | TICv8 | 10:52:47.72 | |
δ | Declination (deg:min:sec) | TICv8 | –67:23:14.9 | |
Vmag | V-band magnitude | TICv8 | 11.54 | |
ϖ | Parallax (mas) | Gaia DR2 | 6.197±0.014 | |
v sin i* | Surface rotational velocity (km s−1) | CORALIE | 4.0±1.2 | |
Parameter | Unit | Exofast | Value | |
priors | ||||
M* | Mass (M⊙) | – | ![]() |
|
R* | Radius (R⊙) | ![]() |
![]() |
|
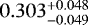
L* | Luminosity (L⊙) | – | ![]() |
|
ρ* | Density (cgs) | – | ![]() |
|
log g | Surface gravity (cgs) | – | ![]() |
|
Teff | Effective temperature (K) | ![]() |
![]() |
|
[Fe/H] | Metallicity (dex) | ![]() |
![]() |
|
Age | Age (Gyr) | – | ![]() |
|
EEP | Equal evolutionary point | – | ![]() |
|
Companion parameters | ||||
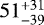
MB | Mass (MJ) | – | ![]() |
|
RB | Radius (RJ) | [0,3] | ![]() |
|
P | Period (days) | – | ![]() |
|
TC | Time of conjunction (BJDTDB) | – | ![]() |
|
a | Semi-major axis (AU) | – | ![]() |
|
i | Inclination (Degrees) | – | ![]() |
|
e | Eccentricity | – | ![]() |
|
ω* | Argument of Periastron (Degrees) | – | ![]() |
|
Teq | Equilibrium temperature (K) | – | ![]() |
|
K | RV semi-amplitude (m s−1) | – | ![]() |
|
δ | Transit depth (fraction) | – | ![]() |
|
τ | Ingress/egress transit duration (days) | – | ![]() |
|
T14 | Total transit duration (days) | – | ![]() |
|
b | Transit impact parameter | – | ![]() |
|
ρP | Density (cgs) | – | ![]() |
|
log gP | Surface gravity | – | ![]() |
|
⟨F⟩ | Incident flux (109 erg s−1 cm−2) | – | ![]() |
|
Wavelength parameters | R | Sloani | TESS | |
u1 | linear limb-darkening coeff | ![]() |
![]() |
![]() |
u2 | quadratic limb-darkening coeff | ![]() |
![]() |
![]() |
RV parameters | CHIRON | CORALIE | FEROS | |
γrel | Relative RV Offset (m s−1) | ![]() |
![]() |
![]() |
σJ | RV Jitter (m s−1) | ![]() |
![]() |
![]() |
![]() |
RV Jitter Variance | ![]() |
![]() |
![]() |
Current usage metrics show cumulative count of Article Views (full-text article views including HTML views, PDF and ePub downloads, according to the available data) and Abstracts Views on Vision4Press platform.
Data correspond to usage on the plateform after 2015. The current usage metrics is available 48-96 hours after online publication and is updated daily on week days.
Initial download of the metrics may take a while.