Open Access
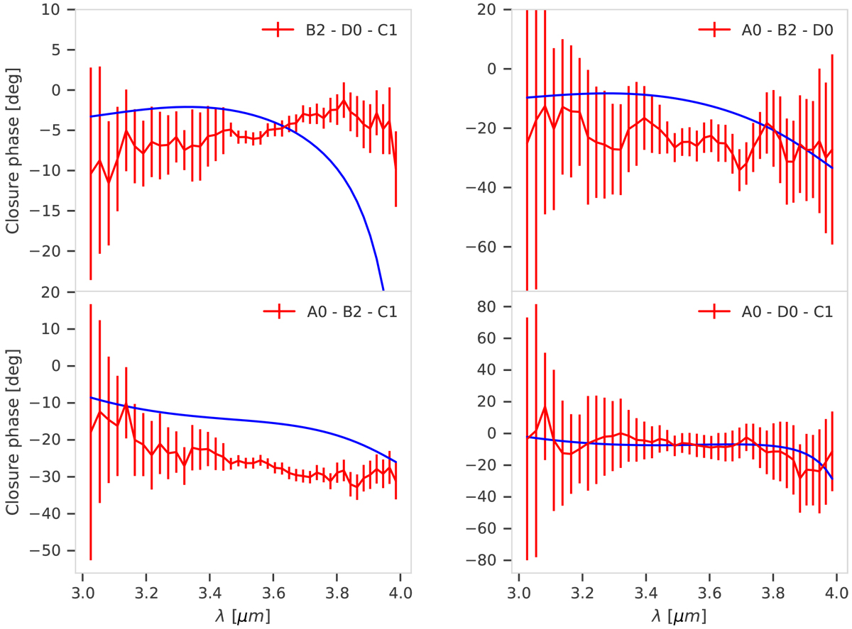
Fig. B.1

MATISSE closure phases in L-band. Red curve represents the data and the blue line is the fit. The telescopes stations are shown in each of the subplots.
Current usage metrics show cumulative count of Article Views (full-text article views including HTML views, PDF and ePub downloads, according to the available data) and Abstracts Views on Vision4Press platform.
Data correspond to usage on the plateform after 2015. The current usage metrics is available 48-96 hours after online publication and is updated daily on week days.
Initial download of the metrics may take a while.