Open Access

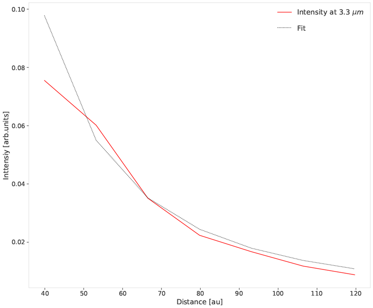
Fig. B.3

image

Intensity profile of HD 179218 at 3.3 μm vs distance from the star. The red line represents the intensity profile at 3.3 μm calculated from the VLT/NACO data presented in Boutéraon et al. (2019), and the dotted black line shows the power-law fit in r−2.

Current usage metrics show cumulative count of Article Views (full-text article views including HTML views, PDF and ePub downloads, according to the available data) and Abstracts Views on Vision4Press platform.

Data correspond to usage on the plateform after 2015. The current usage metrics is available 48-96 hours after online publication and is updated daily on week days.

Initial download of the metrics may take a while.