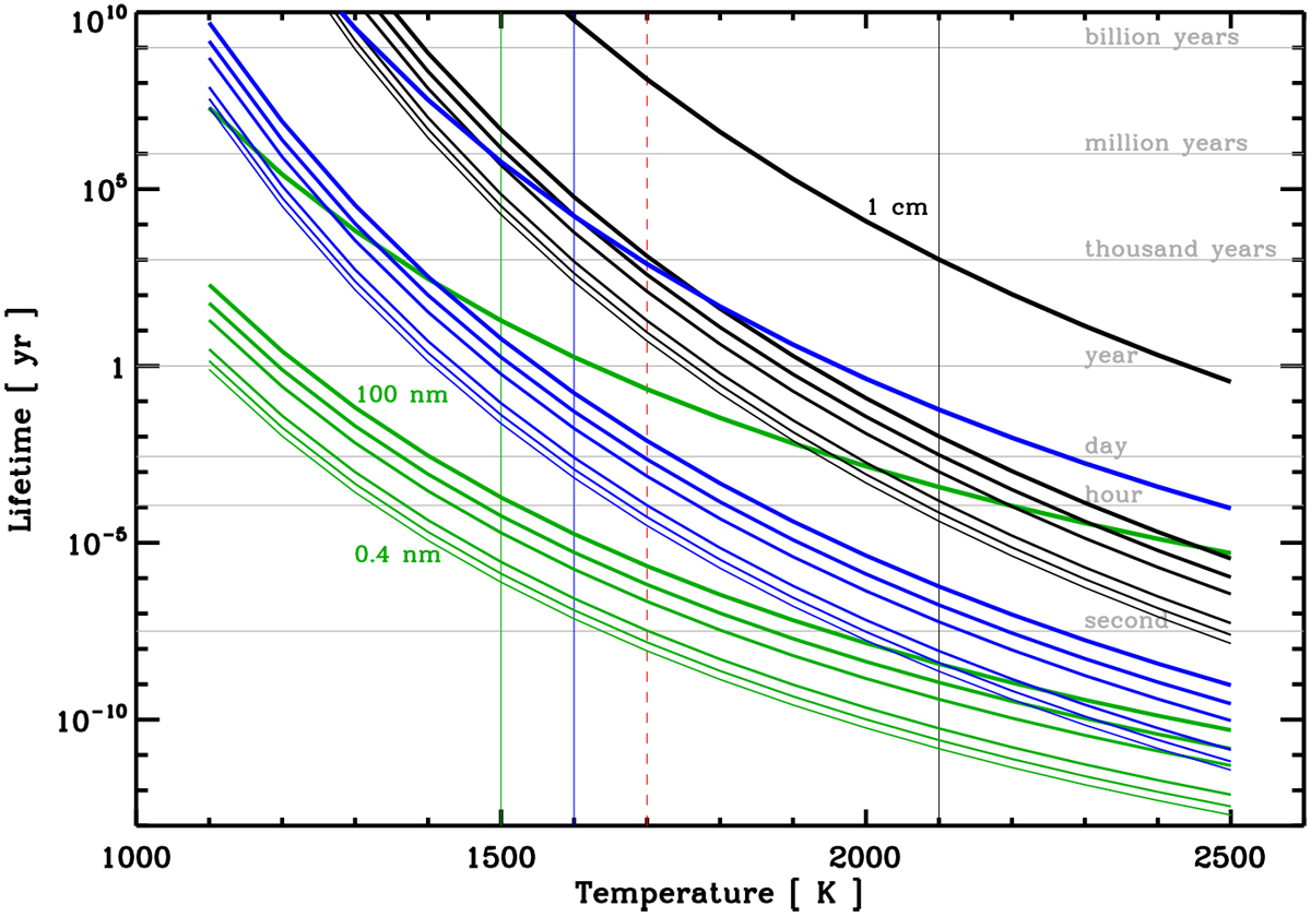
Fig. 9

Calculated lifetimes for silicates (green), graphite (black) and THEMIS a-C (blue). The thicker the line the bigger the grains: 0.4, 0.7, 1.5, 10, 30, 100 nm and the thickest for 1cm radius particles. The solid vertical lines represent the “classical” sublimation temperatures of the three dust materials. The red dashed line is the apparent “model required” temperatureof 1700 K. Refer to Kobayashi et al. (2009) to see the calculation of the lifetimes.
Current usage metrics show cumulative count of Article Views (full-text article views including HTML views, PDF and ePub downloads, according to the available data) and Abstracts Views on Vision4Press platform.
Data correspond to usage on the plateform after 2015. The current usage metrics is available 48-96 hours after online publication and is updated daily on week days.
Initial download of the metrics may take a while.