Free Access
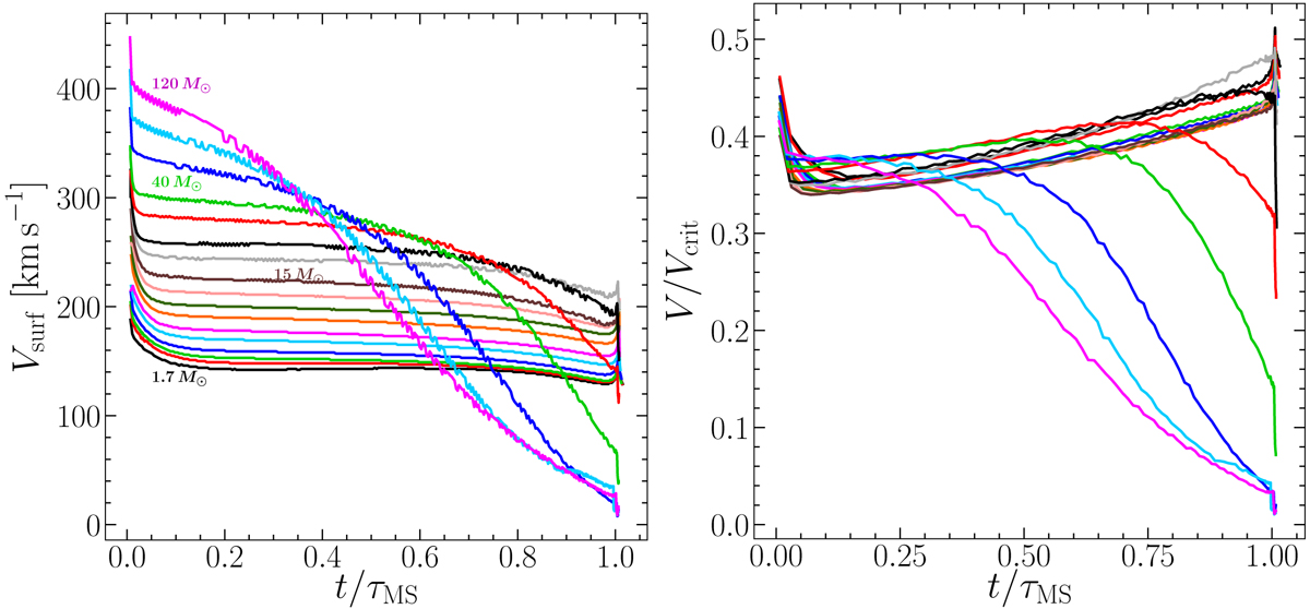
Fig. 3.

Left panel: evolution of the surface equatorial velocity as a function of time (normalized to the MS lifetime for each mass) for rotating models of different masses at Z = 0.006. Right panel: same as left panel but for the ratio of the surface equatorial velocity to the critical velocity.
Current usage metrics show cumulative count of Article Views (full-text article views including HTML views, PDF and ePub downloads, according to the available data) and Abstracts Views on Vision4Press platform.
Data correspond to usage on the plateform after 2015. The current usage metrics is available 48-96 hours after online publication and is updated daily on week days.
Initial download of the metrics may take a while.