Free Access
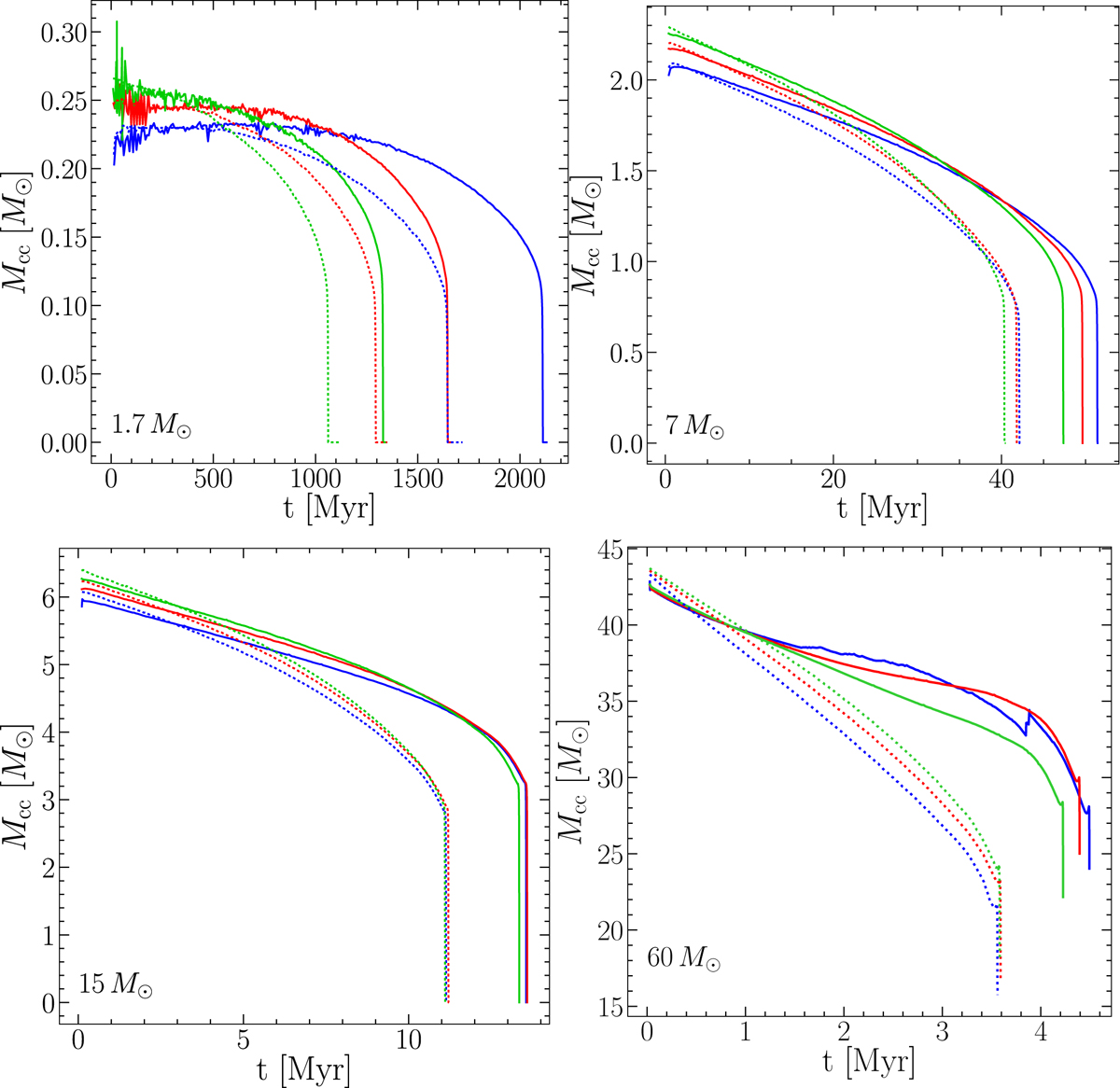
Fig. 7.

Evolution of the convective core mass as a function of time during the MS phase for rotating (solid lines) and nonrotating (dotted lines) models, with 1.7, 7, 15 and 60 M⊙. The blue, red and green lines indicate models with Z = 0.014, 0.006 and 0.002, respectively (same colors as in Fig. 4).
Current usage metrics show cumulative count of Article Views (full-text article views including HTML views, PDF and ePub downloads, according to the available data) and Abstracts Views on Vision4Press platform.
Data correspond to usage on the plateform after 2015. The current usage metrics is available 48-96 hours after online publication and is updated daily on week days.
Initial download of the metrics may take a while.