Free Access

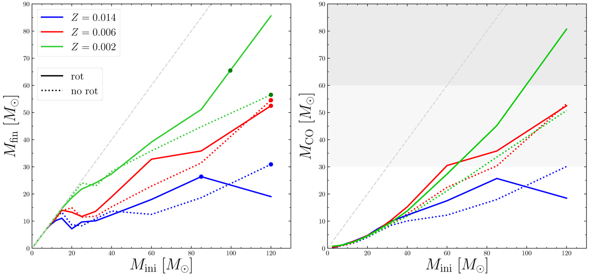
Fig. 9.

image

Left panel: variation of the final mass as a function of the initial mass for rotating (solid lines) and nonrotating (dotted lines) stellar models for various metallicities. The dot along each line indicates the probable maximum black hole mass that can be formed. Right panel: variation of the final Carbon-Oxygen core mass. The regions in light gray and in dark gray correspond to the domains where respectively pair pulsation instability and pair instability supernovae are expected to occur (e.g. Chatzopoulos & Wheeler 2012; Woosley 2017).

Current usage metrics show cumulative count of Article Views (full-text article views including HTML views, PDF and ePub downloads, according to the available data) and Abstracts Views on Vision4Press platform.

Data correspond to usage on the plateform after 2015. The current usage metrics is available 48-96 hours after online publication and is updated daily on week days.

Initial download of the metrics may take a while.