Open Access

Fig. E.1

image

Download original image

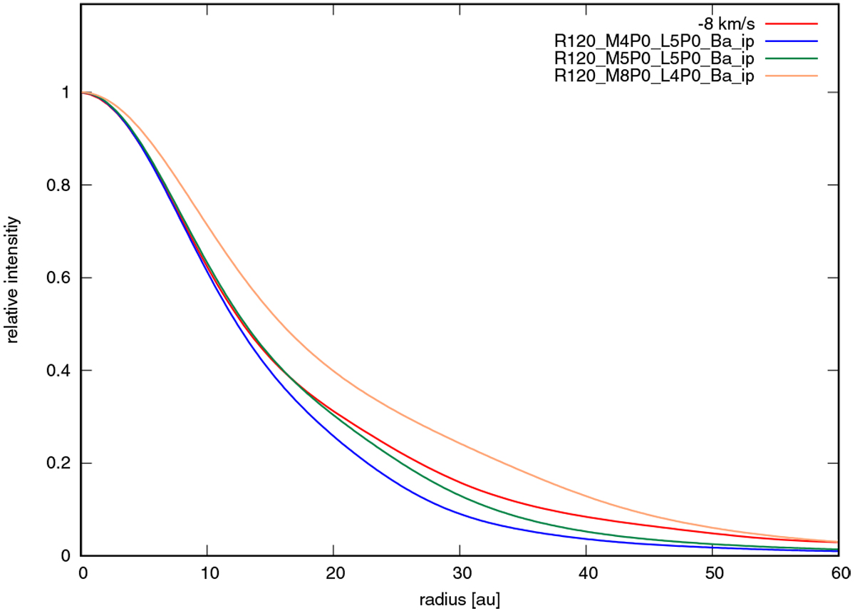
Observed Brα η Car CLV and two CMFGEN Brα models with mass-loss rates of (green) 5.0 × 10−4 M yr−1 and (blue) 4.0 × 10−4 M yr−1 (all CLVs arecomputed for a radial velocity = − 8 km s−1 and spatial resolution of 6 mas). Red CLV: Observed CLV. Green CLV: Mass-loss rate = 5.0 × 10−4 M yr−1; effective temperature Teff(τ= 2∕3) = 11 000 K; velocity Vτ= 2∕3 = 326 km s−1. Blue CLV: Mass-loss rate = 4.0 × 10−4 M yr−1, effective temperature Teff(τ= 2∕3) = 12 000 K; velocity Vτ= 2∕3 = 314 km s−1. The following parameters are identical in both models: luminosity = 5.0 × 106 L, radius Rcore = 120 R, terminal velocity Vinf = 400 km s−1. Orange CLV: CMFGEN model discussed in Sect. 5 (mass-loss rate = 8.0 × 10−4 M yr−1). All models have a radius Rcore = 120 R and a volume filling factor of 0.1.

Current usage metrics show cumulative count of Article Views (full-text article views including HTML views, PDF and ePub downloads, according to the available data) and Abstracts Views on Vision4Press platform.

Data correspond to usage on the plateform after 2015. The current usage metrics is available 48-96 hours after online publication and is updated daily on week days.

Initial download of the metrics may take a while.