Free Access

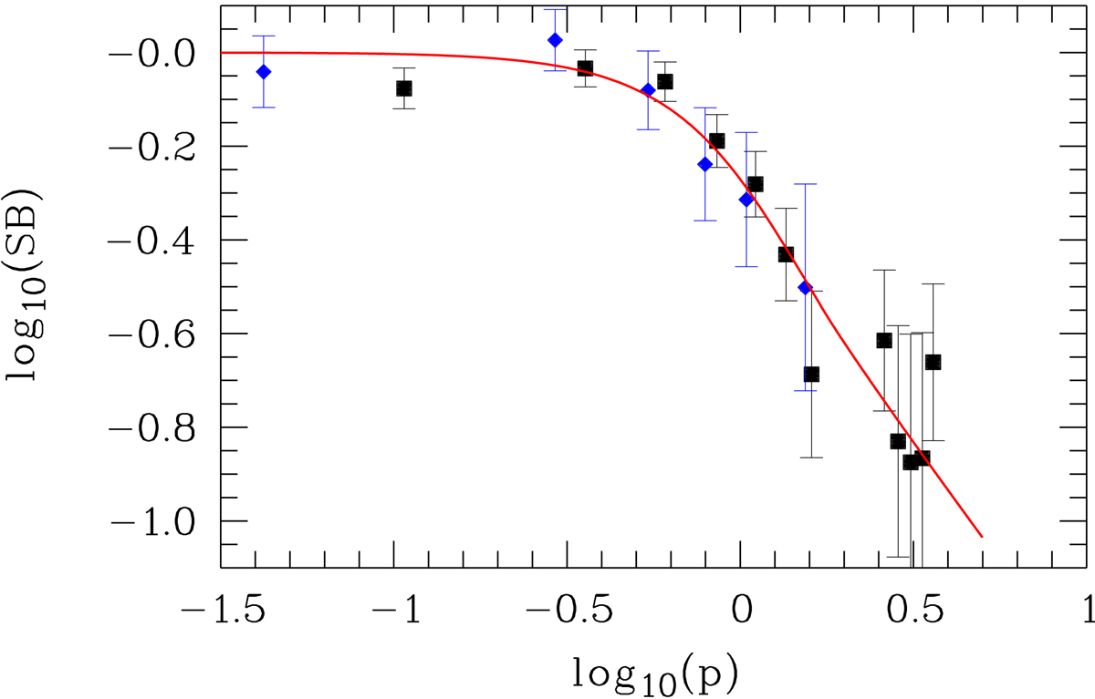
Fig. 1.

image

Spatial profile of the brightest FeI line (λ3719 Å; black squares) and the brightest NiI line (λ3458 Å; blue diamonds) observed in comet 46P. The measured surface brightness (SB; in arbitrary units) is plotted as a function of the projected nucleocentric distance p in arcsec. The red line represents a p−1 distribution of the SB convolved with a 135 FWHM Gaussian that accounts for the seeing and tracking imperfections.

Current usage metrics show cumulative count of Article Views (full-text article views including HTML views, PDF and ePub downloads, according to the available data) and Abstracts Views on Vision4Press platform.

Data correspond to usage on the plateform after 2015. The current usage metrics is available 48-96 hours after online publication and is updated daily on week days.

Initial download of the metrics may take a while.