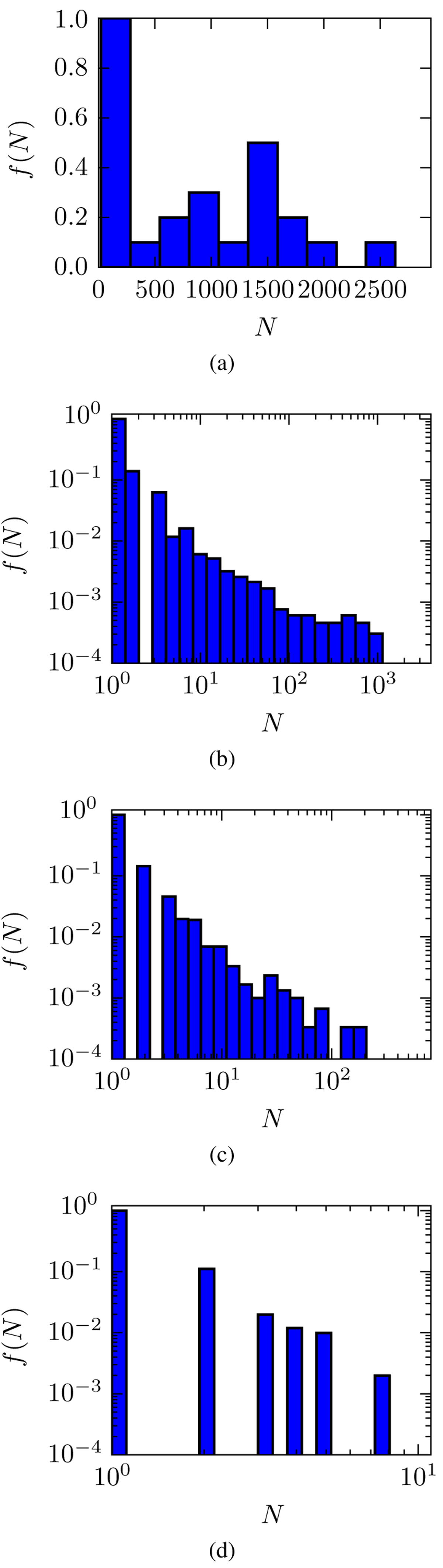
Fig. 3

Grain number distributions of fragments (a) with and (b) without chondrules in our fastest collisions, v = 25 m s−1. Panels c and d: histograms for chondrule-free fragments at velocities 15 and 5 m s−1, respectively. We note the change in abscissa scale in the subpanels. Histograms have been normalizedsuch that the first bin reaches a value of one. All data are for an initial filling factor ϕ = 0.25.
Current usage metrics show cumulative count of Article Views (full-text article views including HTML views, PDF and ePub downloads, according to the available data) and Abstracts Views on Vision4Press platform.
Data correspond to usage on the plateform after 2015. The current usage metrics is available 48-96 hours after online publication and is updated daily on week days.
Initial download of the metrics may take a while.